各位考生:
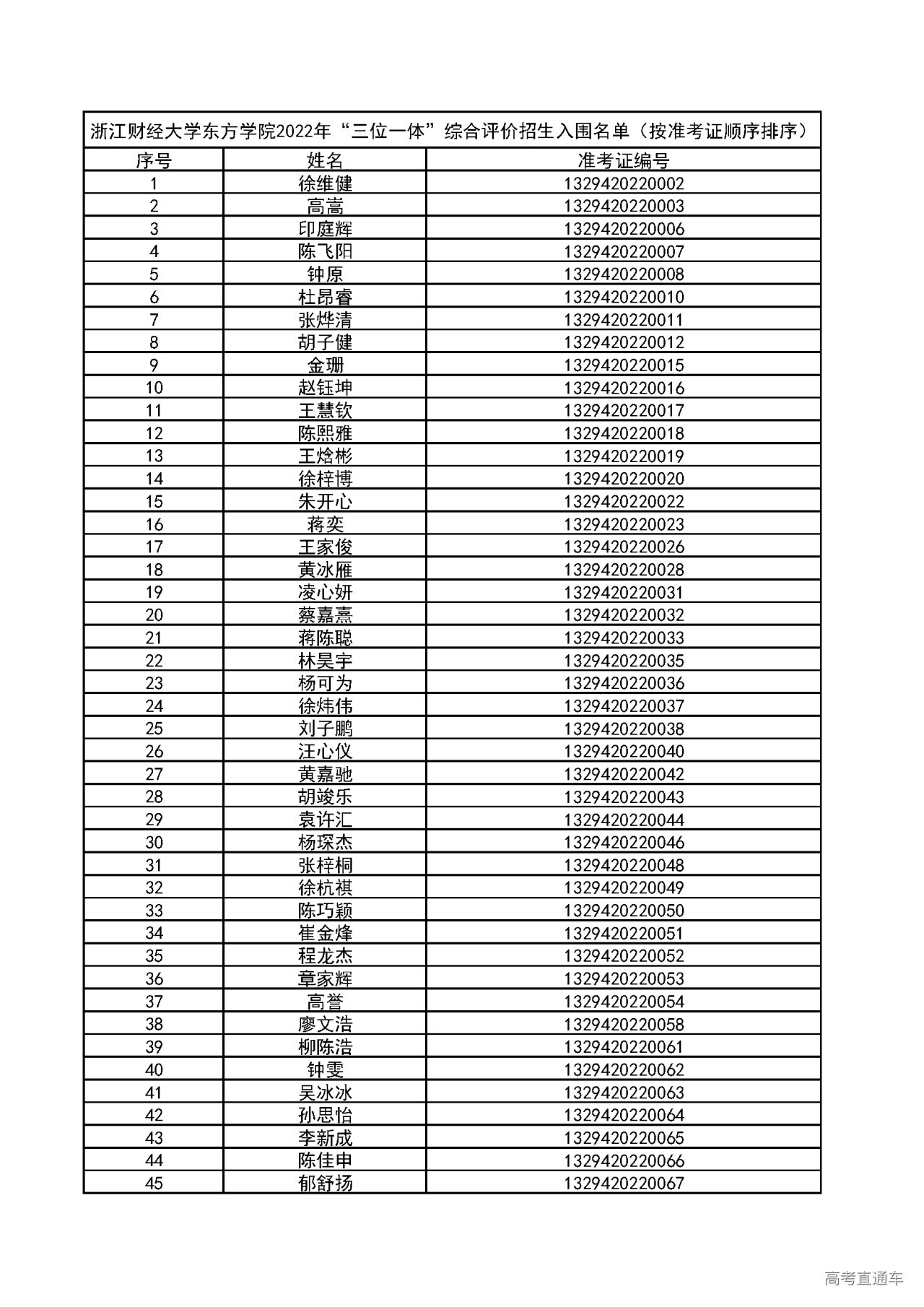
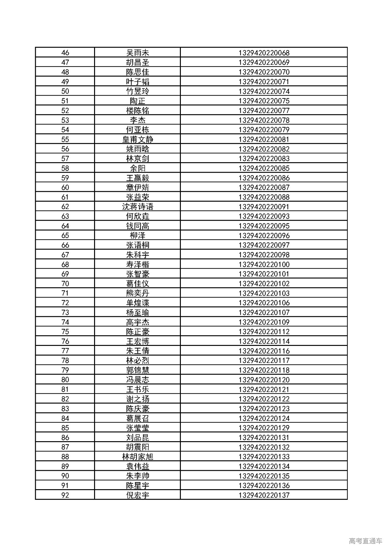
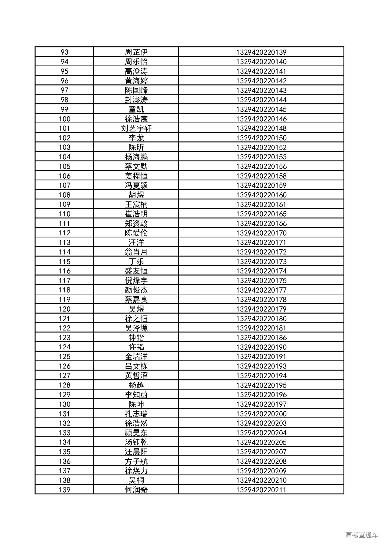
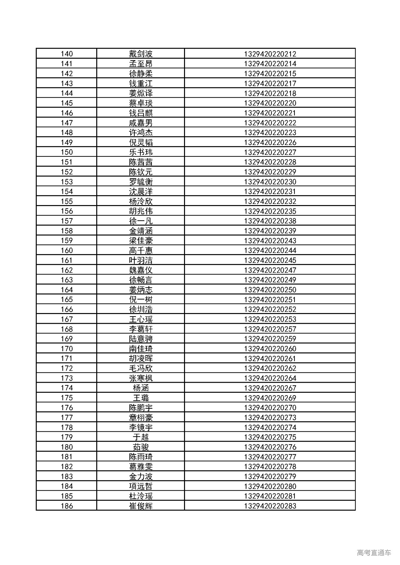
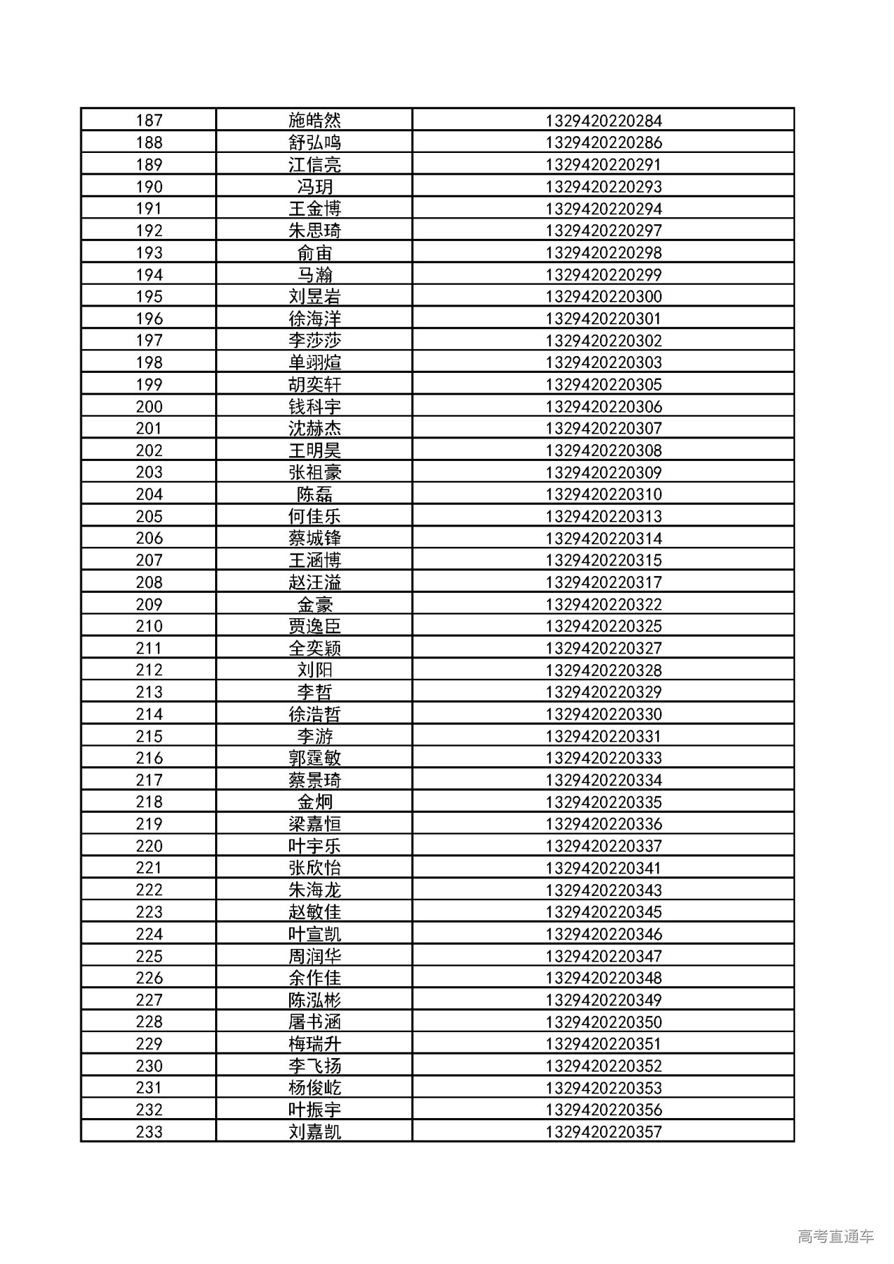
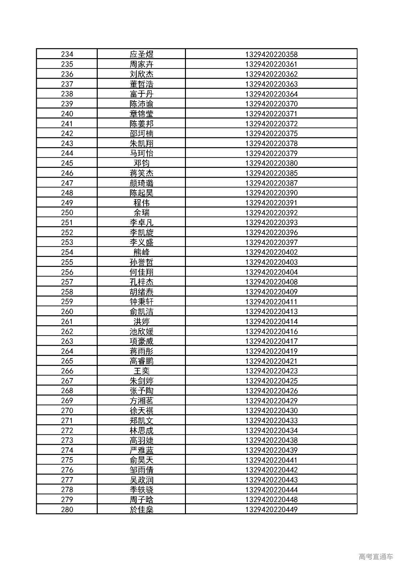
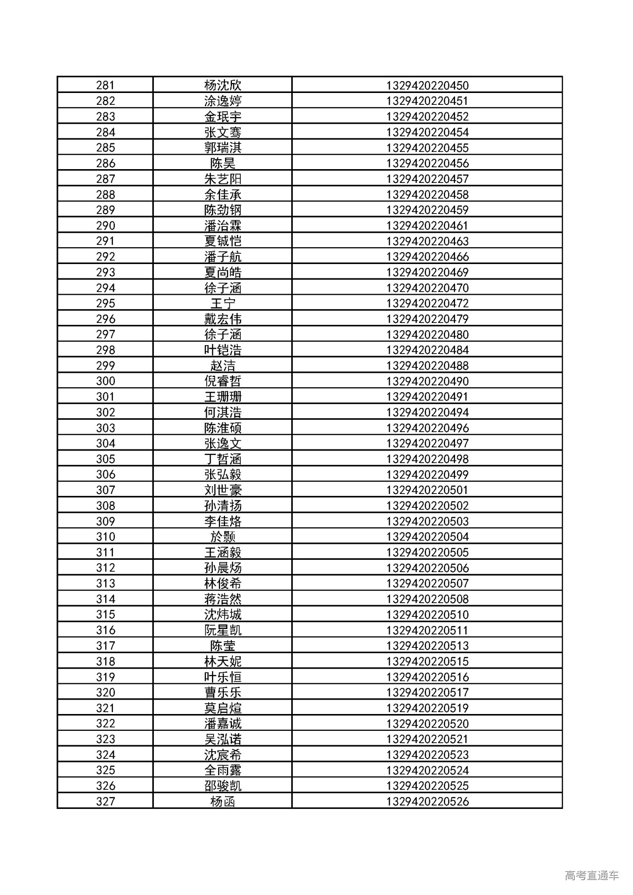
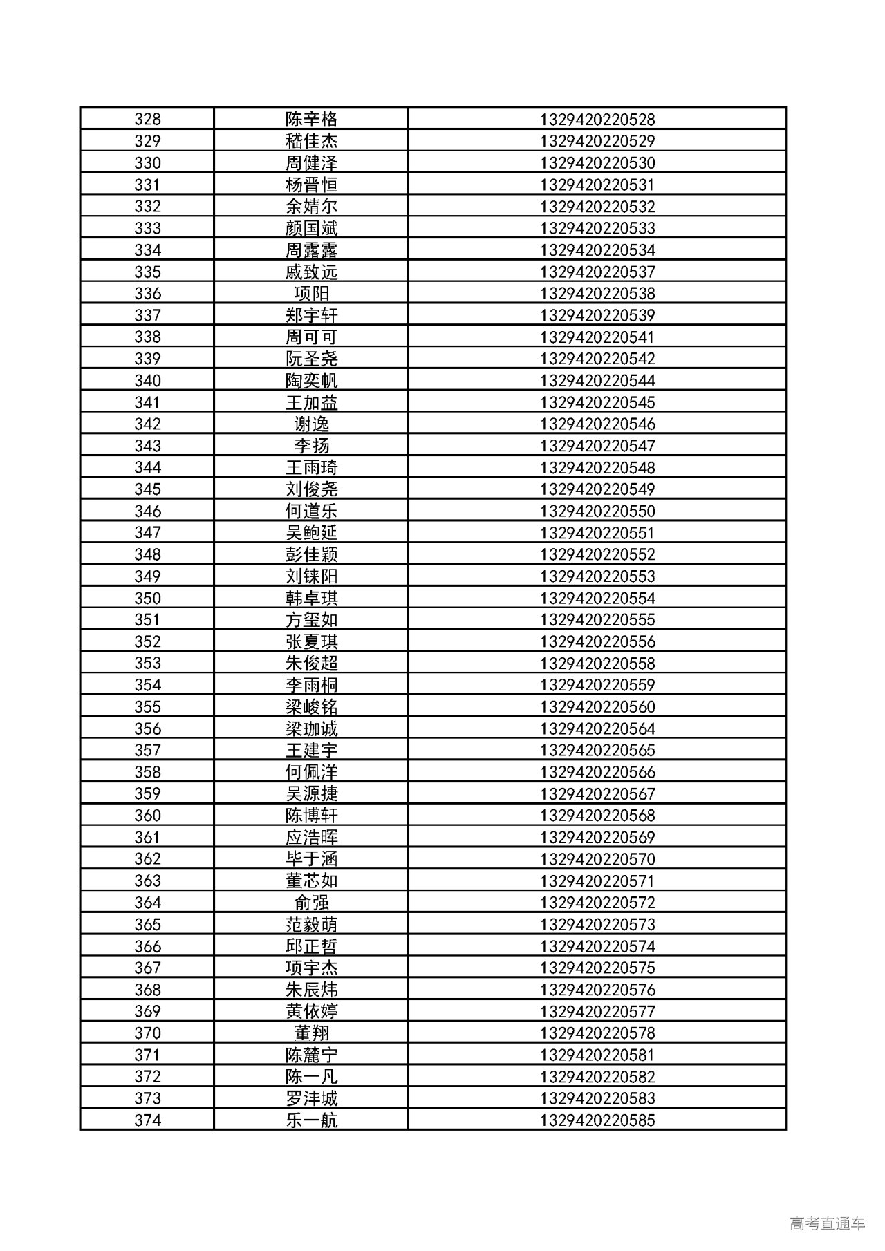
根据浙江省教育考试院相关文件和《浙江财经大学东方学院2022年“三位一体”综合评价招生章程》的规定,经我院综合测试,依据不超过招生计划1:5的原则,按照综合测试成绩从高分到低分确定入围考生名单,经学院“三位一体”综合评价招生工作领导小组审定,共有400名考生入围我院2022年“三位一体”综合评价招生,合格线83.00分,现将入围考生名单予以公布(见文末附件)。考生可通过我院“三位一体”报名系统http://zsbm.zufedfc.edu.cn:8080查询综合测试成绩。
入围考生须参加2022年高考。录取安排在普通类提前批录取中进行。考生在填报提前录取志愿时须将浙江财经大学东方学院填为第一院校志愿,否则无效。未被我院录取的,进入后续志愿的投档程序。填报的专业志愿须在本章程公布的招生专业范围内,专业志愿和服从调剂专业均须符合选考科目要求。
成绩核算:对进档考生,按综合成绩从高到低择优录取。具体折算方法如下:
综合成绩=学业水平测试成绩×15%+综合素质测试成绩×25%+高考总分(折算成满分100分)×60%
其中学业水平测试(科目A等计10分,B等计8分,C等计5分,D等计2分。我院认可往届生相应科目的成绩等级,其中(新高考改革前的往届生)通用技术和信息技术两项科目中取高的等级作为技术科目学考成绩等级,自选综合不计分。
排序中考生综合成绩相同时,则按单项顺序及分数高低排序,单项顺序排列依次为:综合素质测试成绩、高考成绩、学业水平测试成绩。若仍相同,则按高考成绩总分位次先后排序。
专业投档办法:学院按总计划数1:1划定校内投档基准线,按“分数优先,平行志愿”的原则择优录取,专业间不设级差分。当考生综合成绩无法满足其所填报的专业志愿时,如果考生服从专业调剂(调剂时须满足选考科目要求),学院根据综合成绩从高分到低分调剂到招生计划未满专业;如仍不足,则从投档基准线下考生中从高分到低分逐一择优录取到未满专业,直至满额。
若考生志愿填报人数未到总计划数的110%,则录取人数控制在志愿填报人数的85%以内。
公示期:4月23日至4月29日16:00止。如对以上公示结果有异议,请联系我院招生办。
通讯地址:浙江省海宁市连杭经济开发区高新区仰山路2号浙江财经大学东方学院招生办公室
邮政编码:314408
联系电话:0571-87571500、87571557
招生信息网:http://zs.zufedfc.edu.cn/
招生咨询微信:dongfangxueyuancj
附件:浙江财经大学东方学院2022年“三位一体”综合评价招生入围名单








