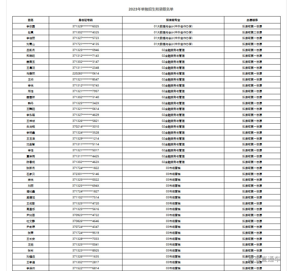
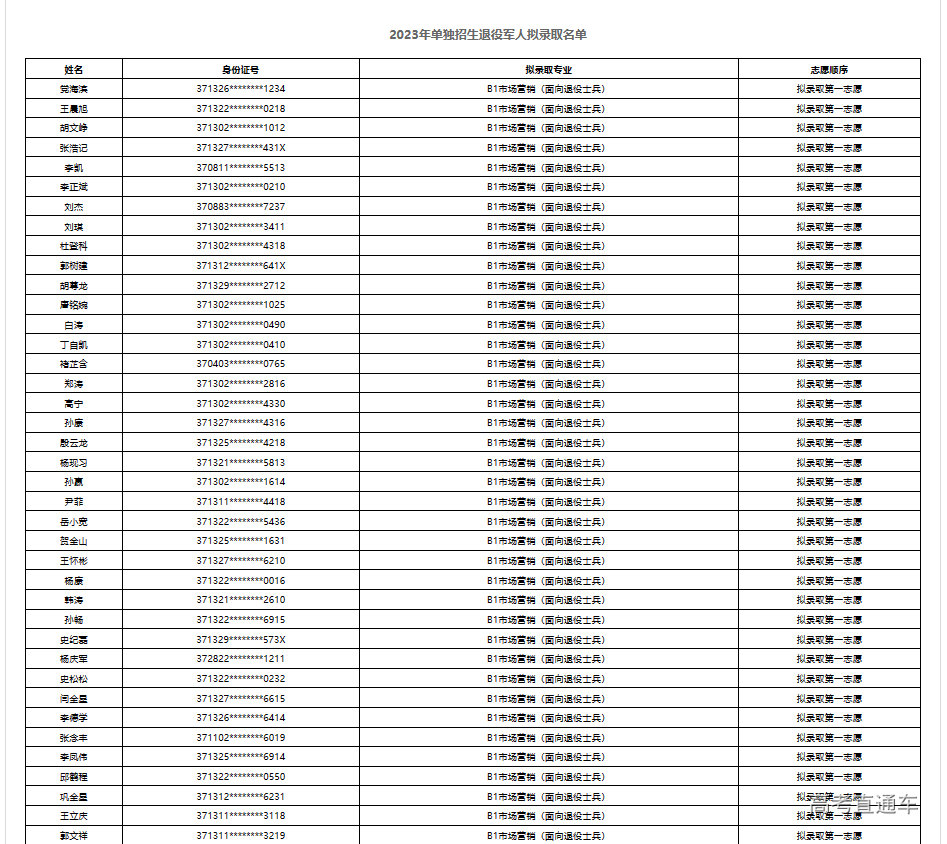
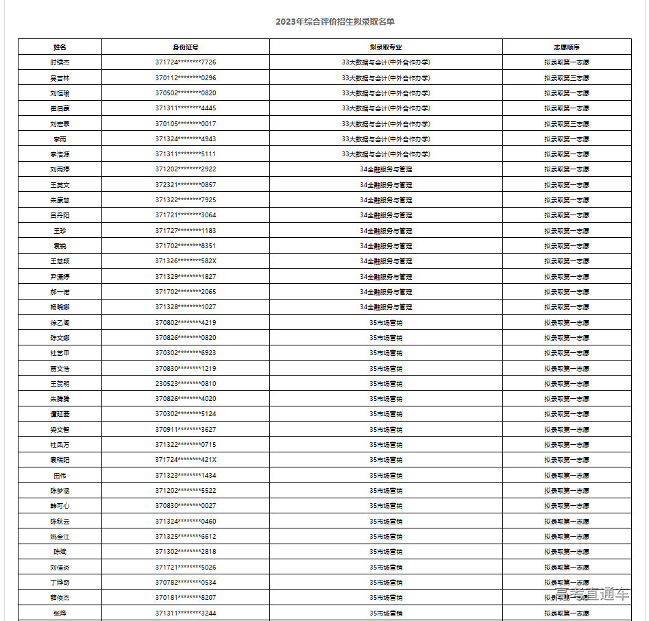
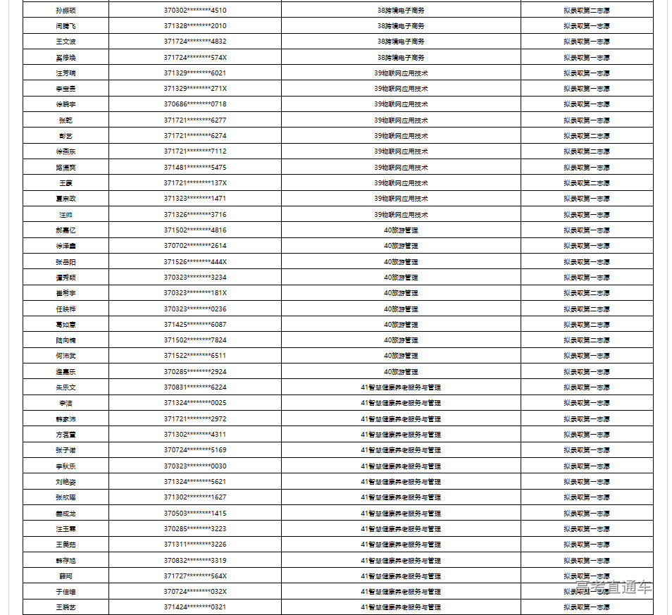
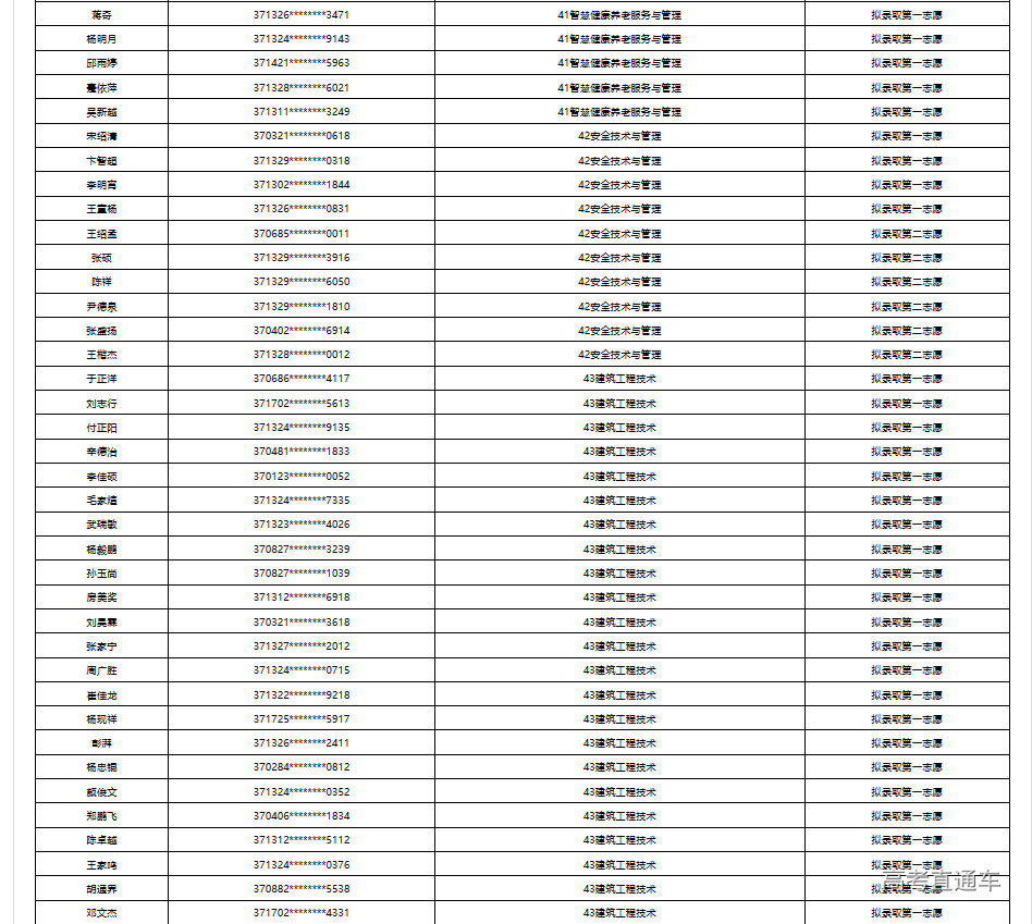
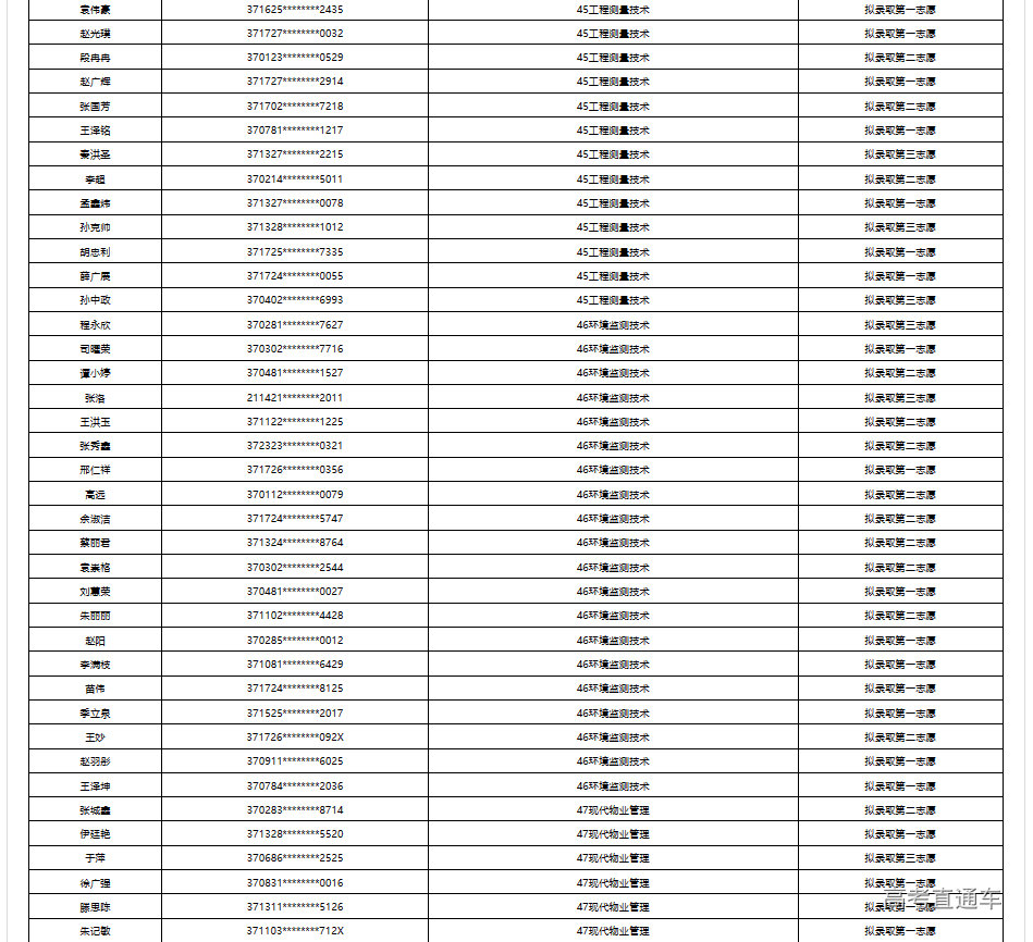
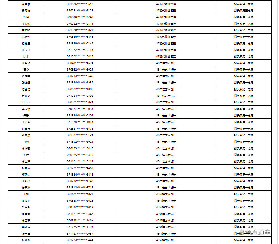
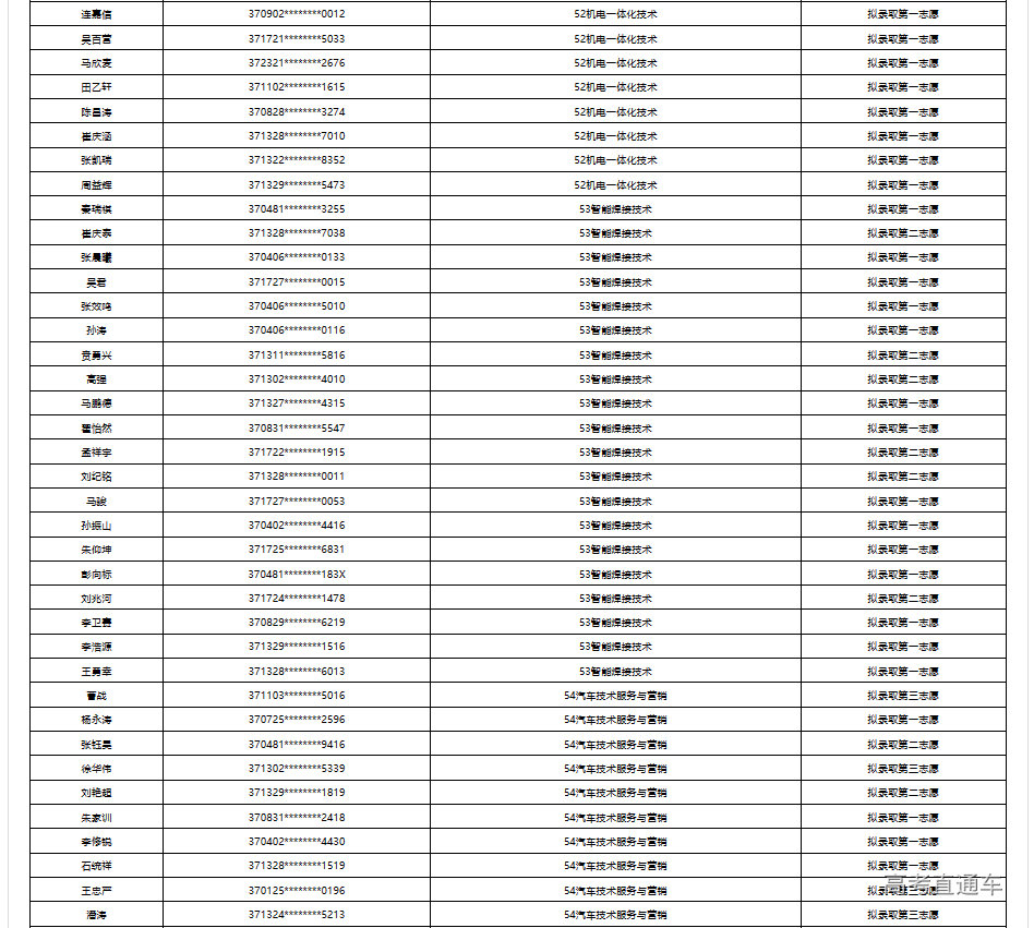
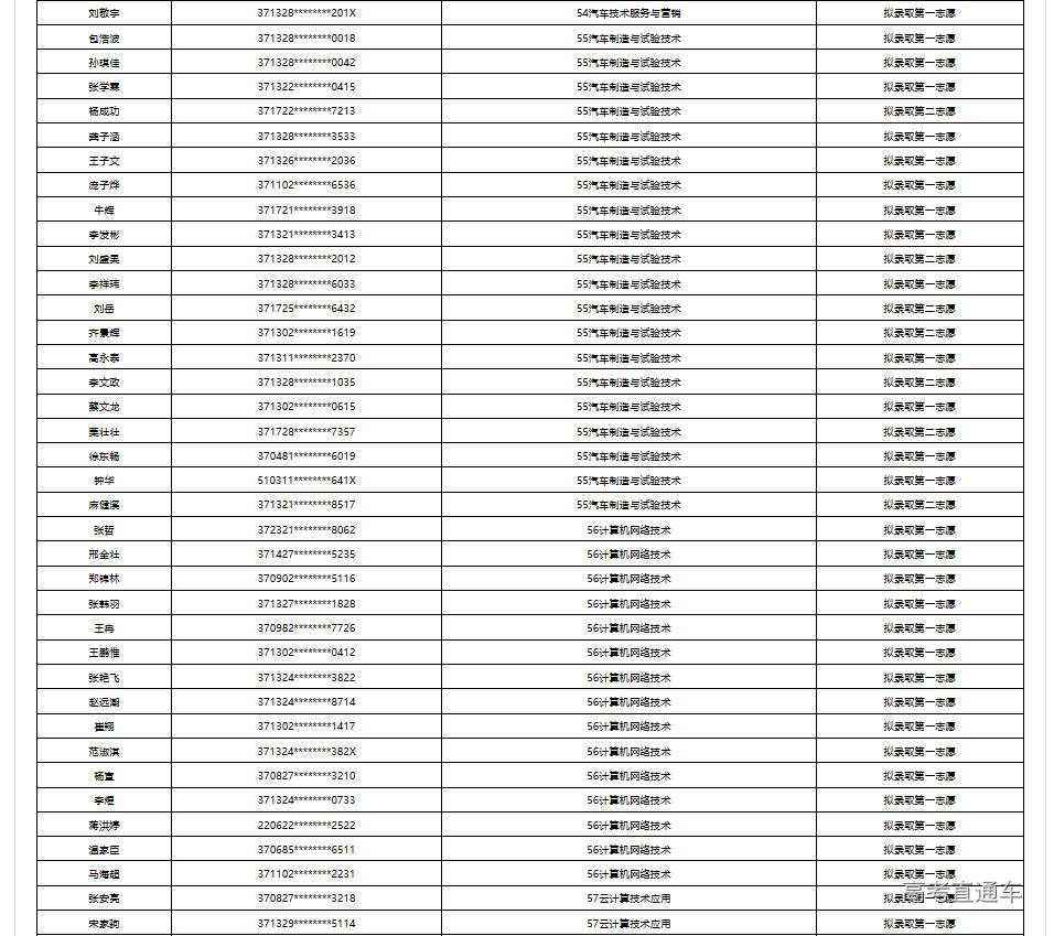
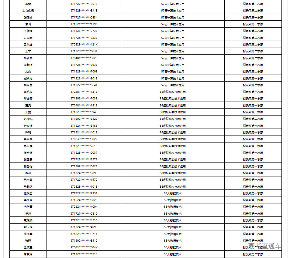
我校2023年单独招生和综合评价招生工作在省教育厅的监督指导下顺利完成,根据《临沂职业学院2023年高职(专科)单独招生和综合评价招生章程》,按照公开、公平、公正的原则,根据考生综合成绩排名从高分到低分择优进行录取。各专业录取最低控制线和拟录取名单经我校2023年高职单独招生和综合评价招生工作领导小组审核通过,现予以公示,公示期2023年3月31日-4月4日。
根据《山东省教育厅关于做好2023年高职(专科)单独招生和综合评价招生工作的通知》精神,4月4日公示结束后,学校办理正式录取手续。拟录取公示期间,考生无异议,学校一律视为同意被录取,考生将按规定不能再参加当年的普通高校招生考试,未被我校录取的考生可继续参加山东省2023年普通高等学校招生统一考试。
联系电话:0539-2872066 2872077。










































