广东省外语艺术职业学院2023年五年一贯制(全省统考)录取名单

2023-05-26 15:18 广东省外语艺术职业学院 评论
广东省外语艺术职业学院
广东广州市-公办-综合类
查看详情

录取名单



各位考生:    

       经广东省教育考试院审核通过,我校2023年高职院校五年一贯制(全省统考)最终正式录取130名,期待以上考生金秋9月到校园来报到!


图片

热烈祝贺

图片

以下同学

在2023年五年一贯制(全省统考)

被我校录取,金榜题名!

特此喜报!



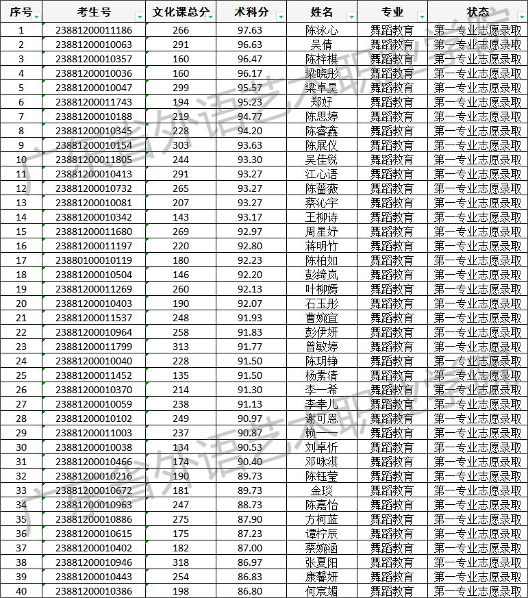
舞蹈教育专业录取名单

图片


美术教育专业录取名单

图片


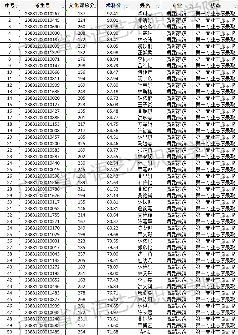
舞蹈表演专业录取名单

图片


登录高考直通车APP
查看完整试题答案
好的
查看完整试题
特别声明:
1. 本站注明稿件来源为其他媒体的文/图等稿件均为转载稿,本站转载出于非商业性的教育和科研之目的,并不意味着赞同其观点或证实其内容的真实性。如转载稿涉及版权等问题,请作者在两周内速来电或来函联系,本站根据实际情况会进行下架处理。
2. 任何媒体、网站或个人未经本网协议授权不得转载、链接、转贴或以其他方式复制发表,违者本站将依法追究责任。
举报理由选择
确定
高考直通车官网

哇哦!快加入高考直通车APP,发现更多精彩内容,与学霸一起交流学习吧!