各位广东考生:
根据教育部、广东省招生委员会办公室和广东省教育考试院关于普通高校综合评价录取文件精神和具体要求,现对2023年西交利物浦大学综合评价录取初审合格的广东省考生名单予以公示。
公示时间:2023年5月25日—6月7日。
申请者可进入报名系统(https://admission.xjtlu.edu.cn)查询综合评价录取材料审核结果。 如有异议,请实名与西交利物浦大学纪律检查委员会(12388@xjtlu.edu.cn)联系。
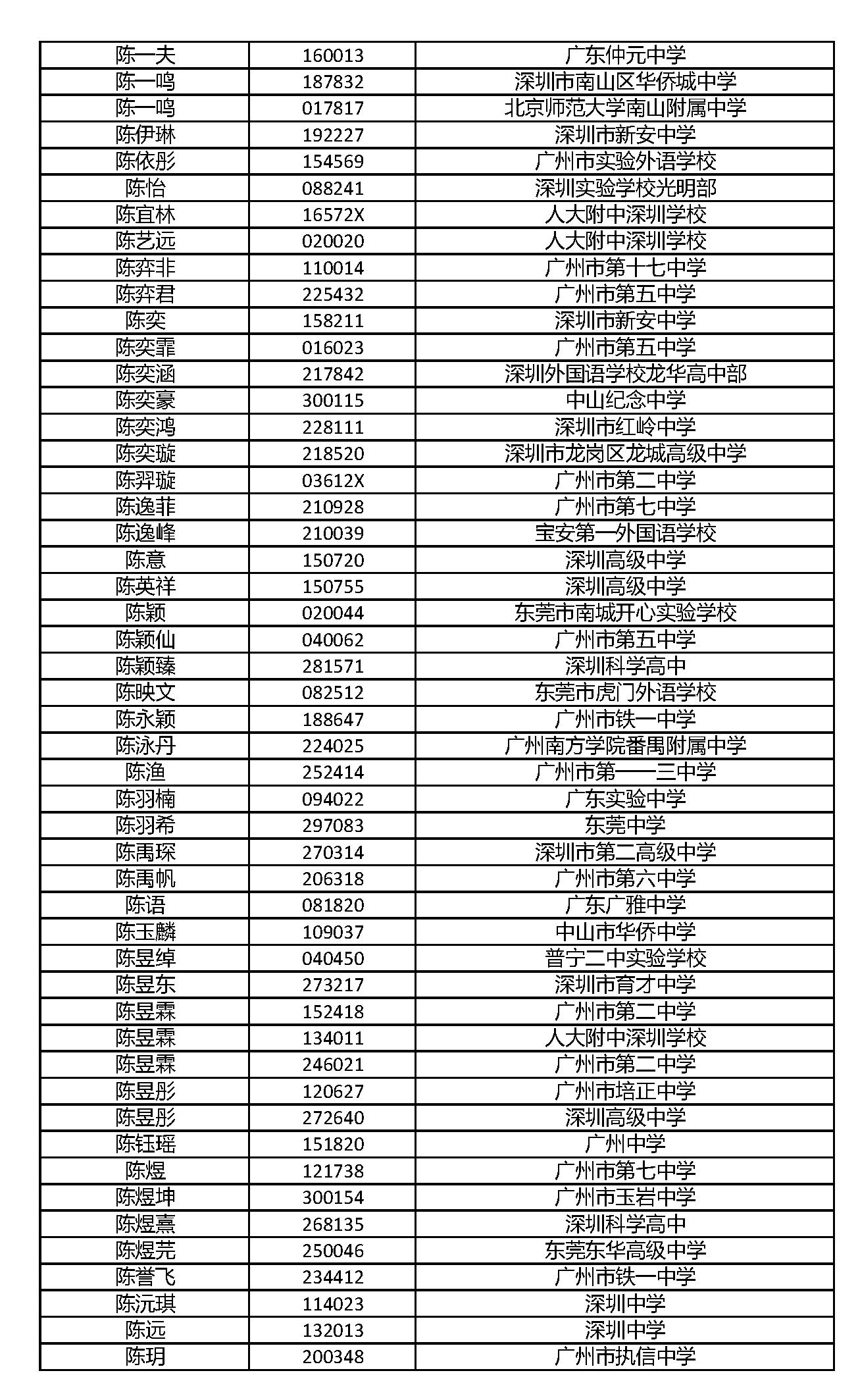
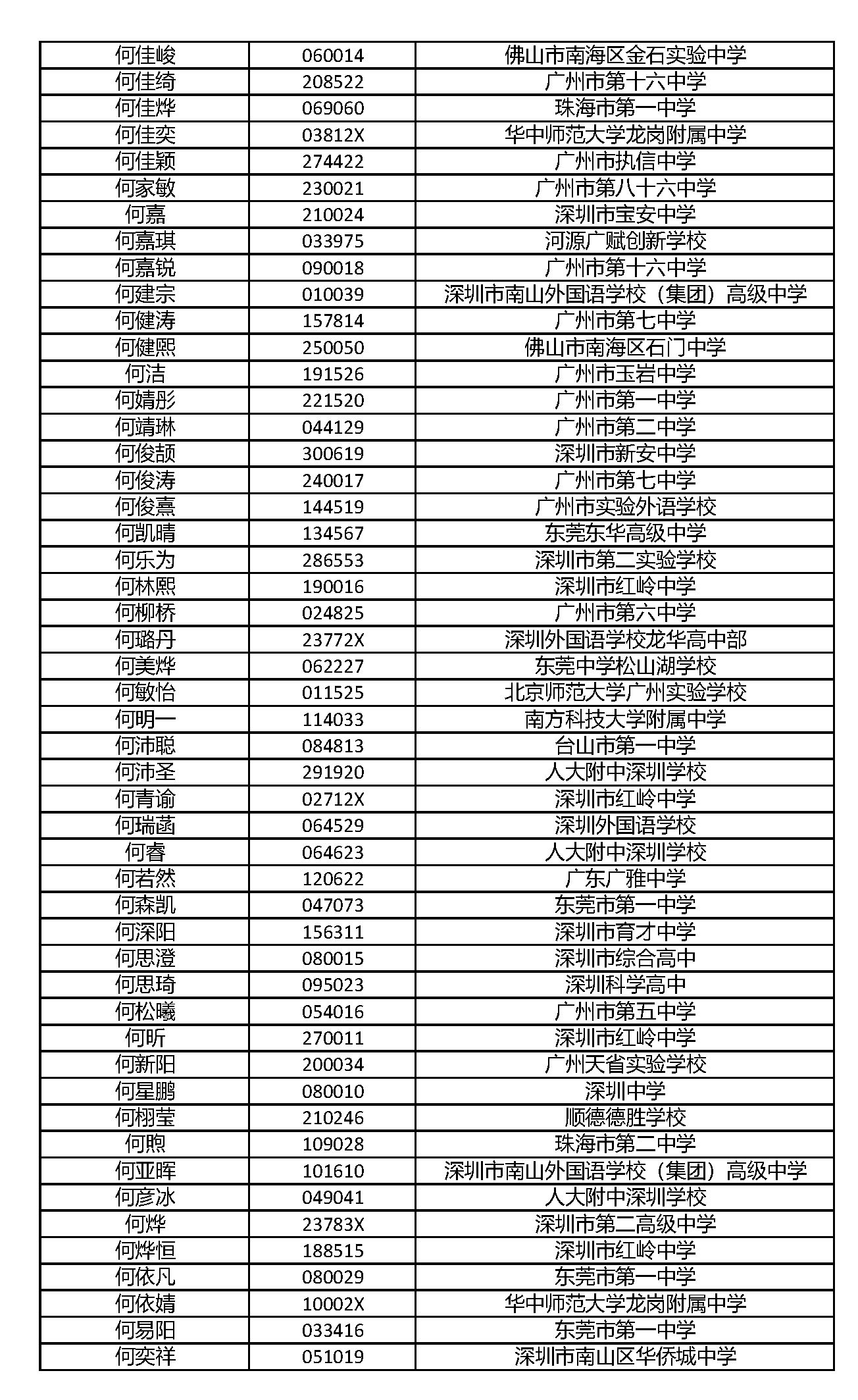
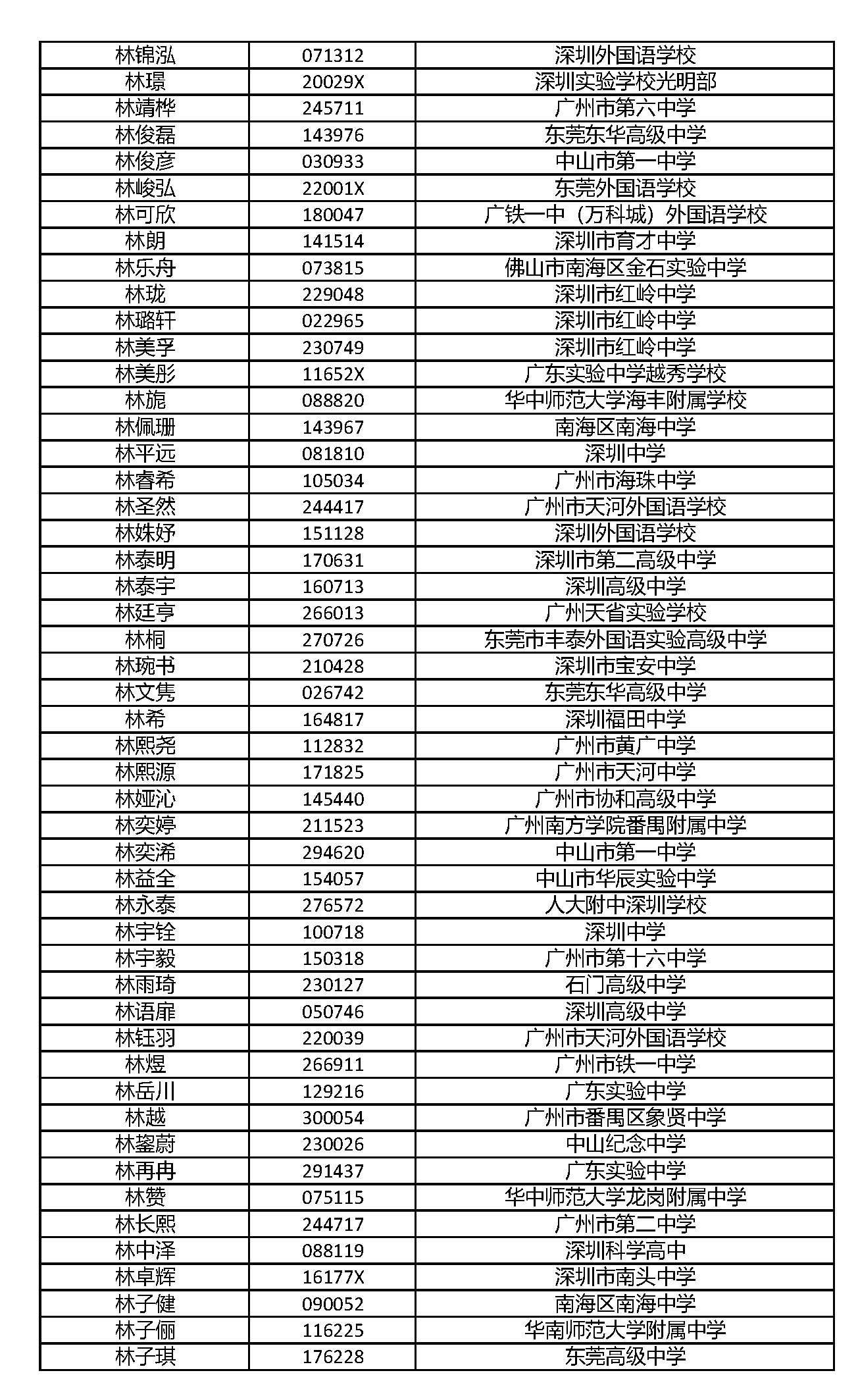
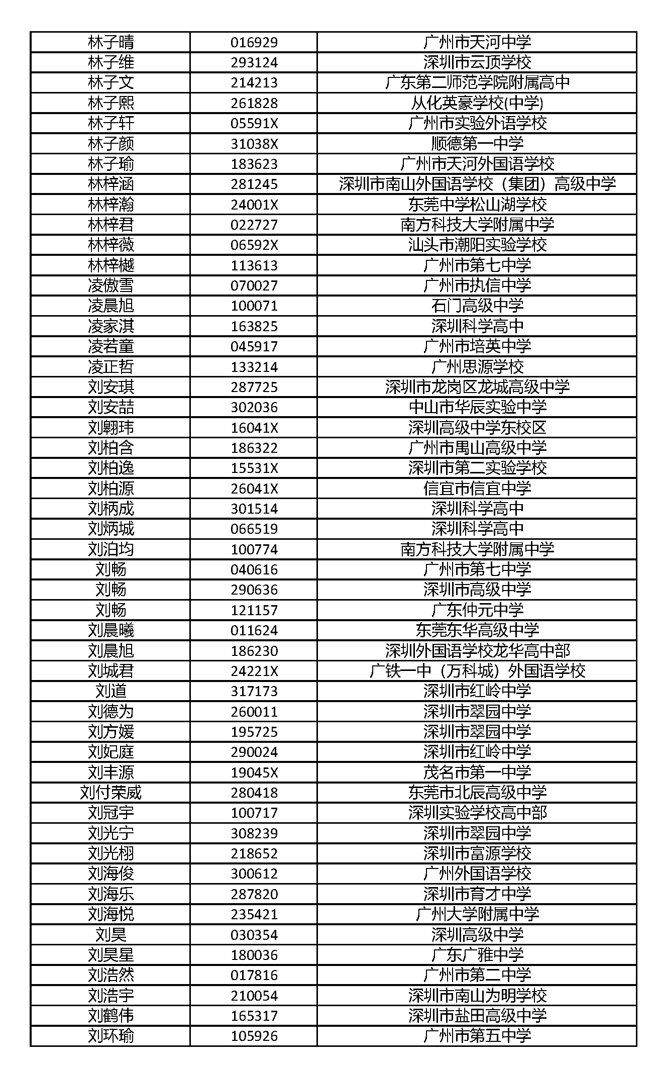
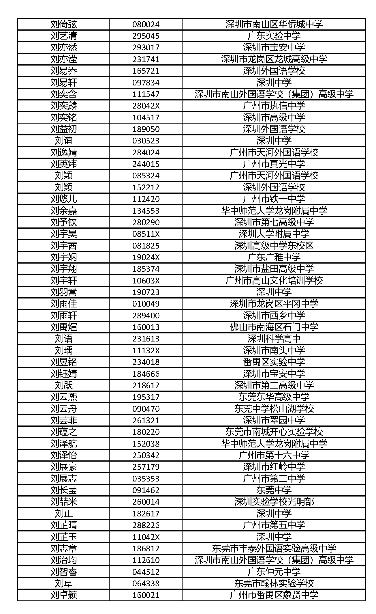
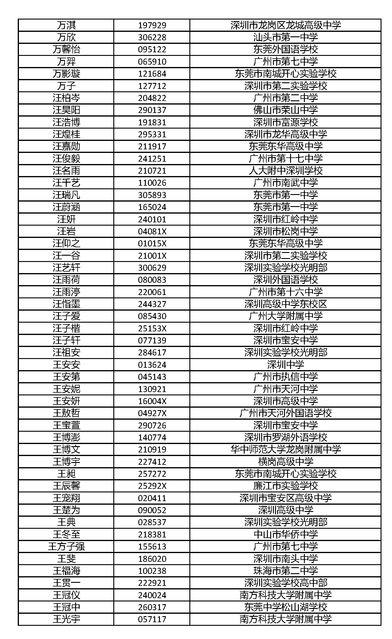
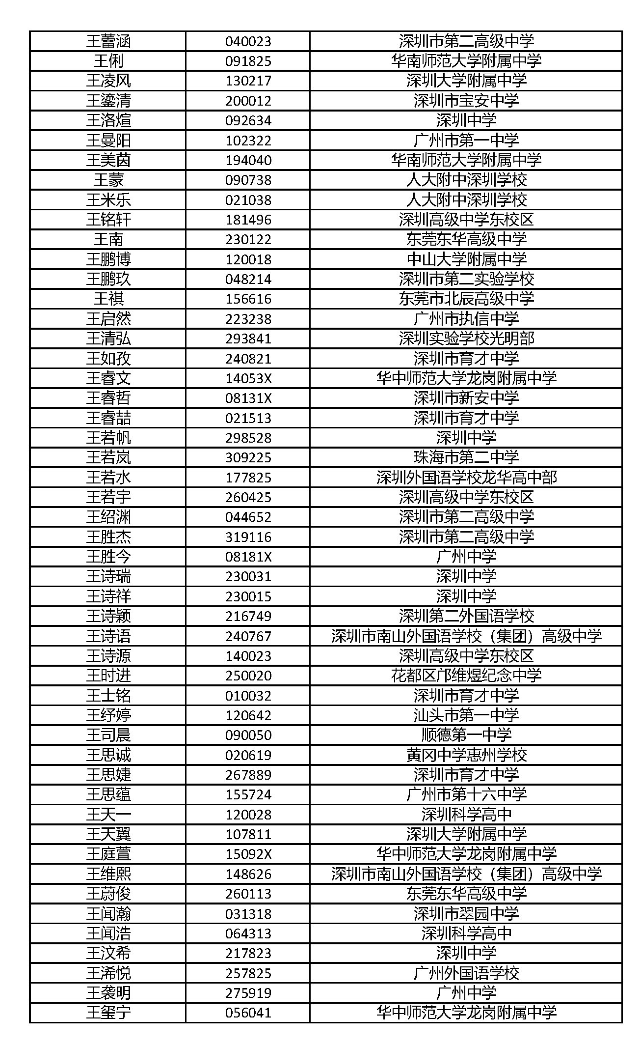
附:西交利物浦大学2023年通过综合评价录取初审的广东省考生名单
西交利物浦大学招生办公室
二〇二三年五月二十五日
附件(点击下载):初审名单.pdf





















































































