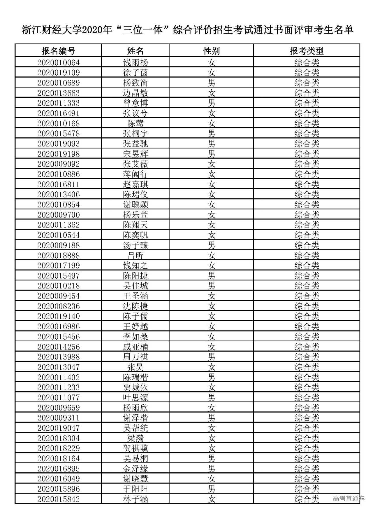
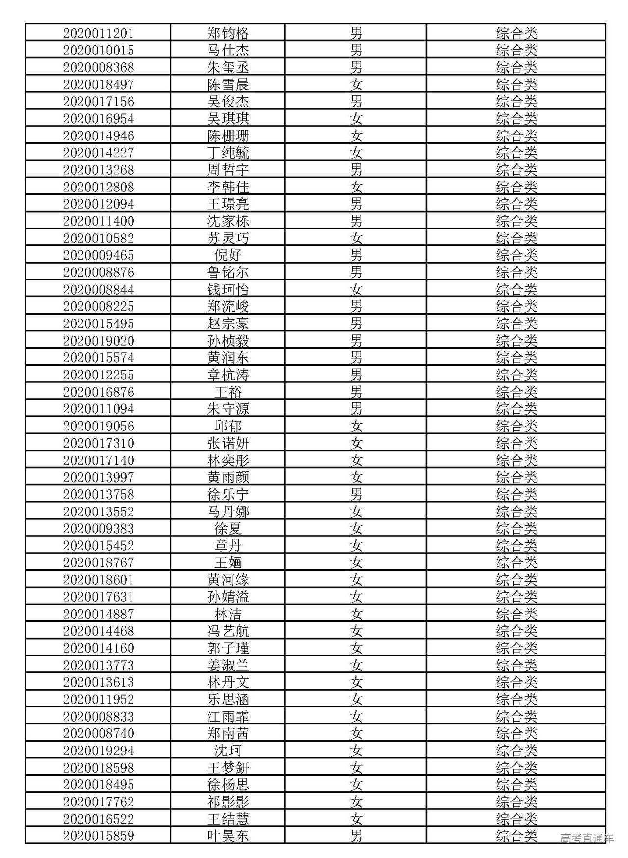
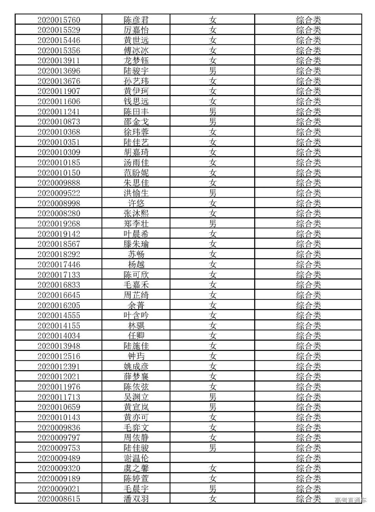
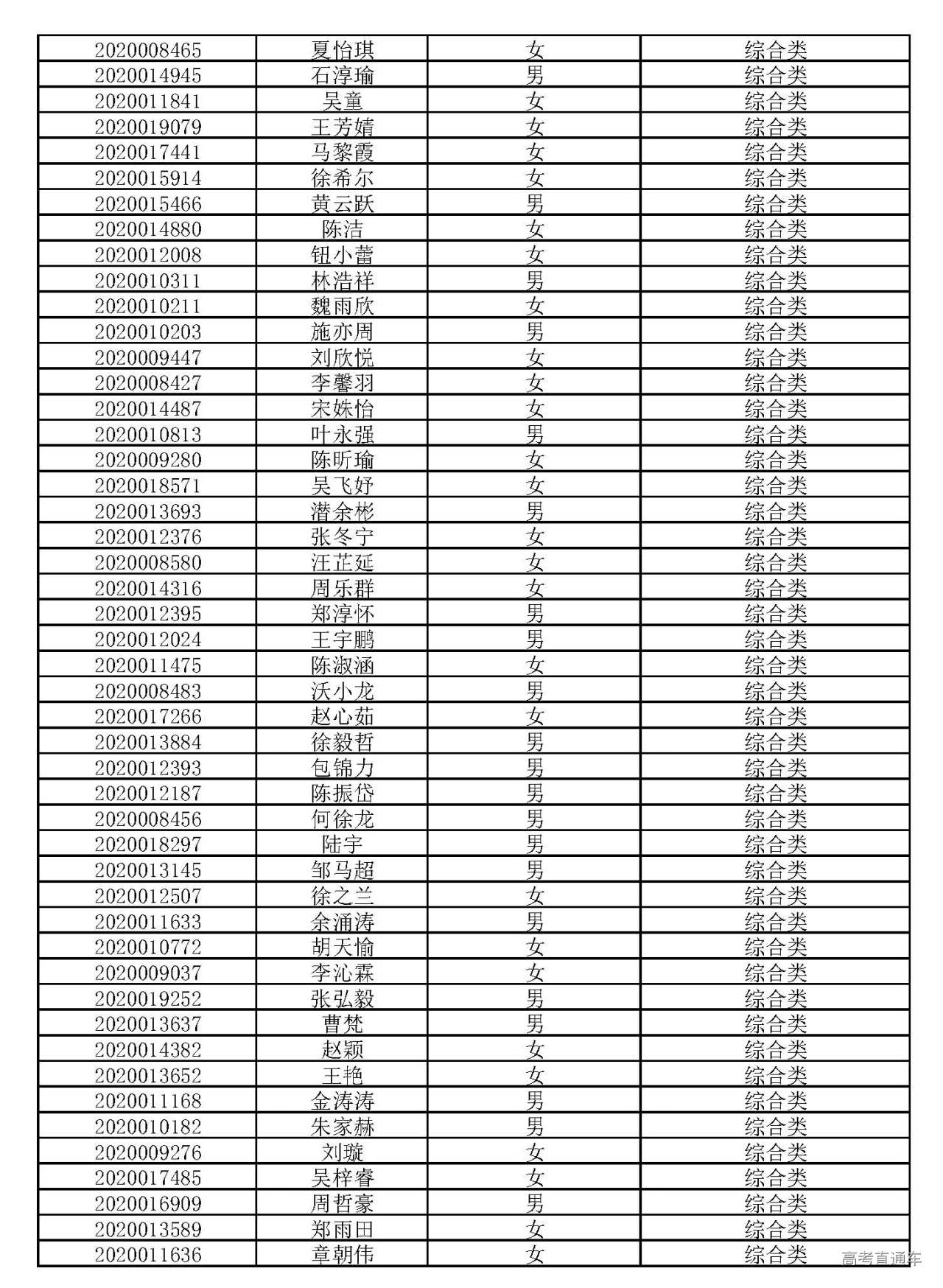
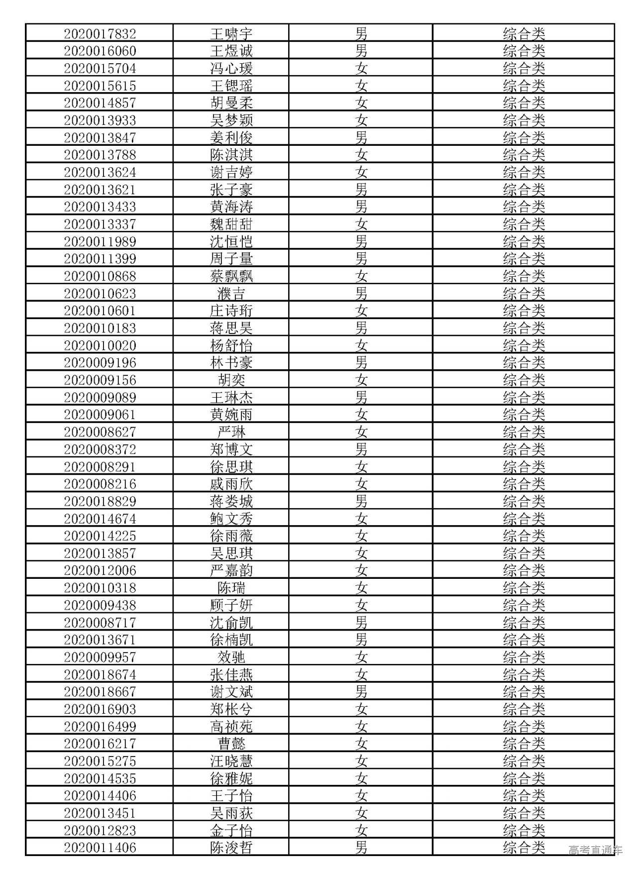
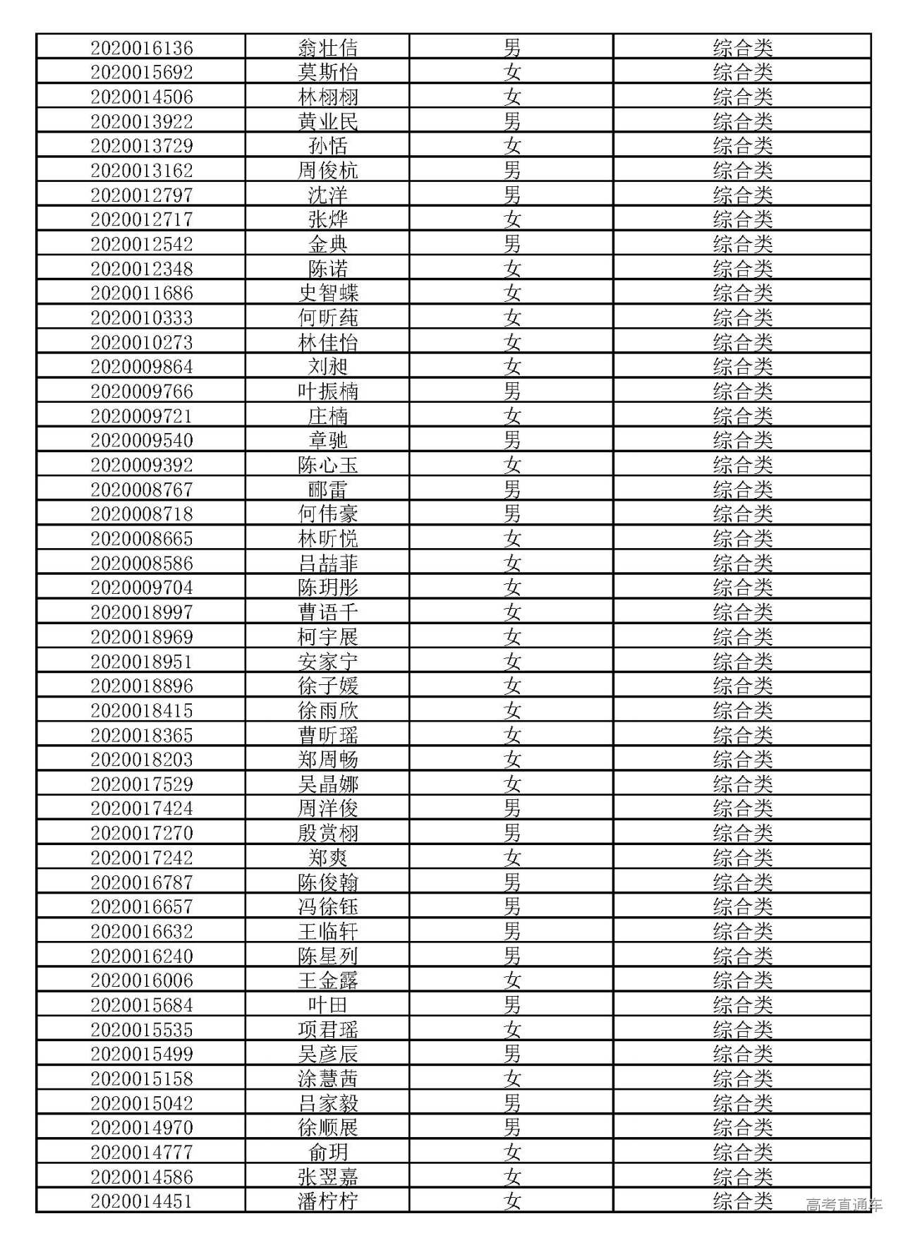
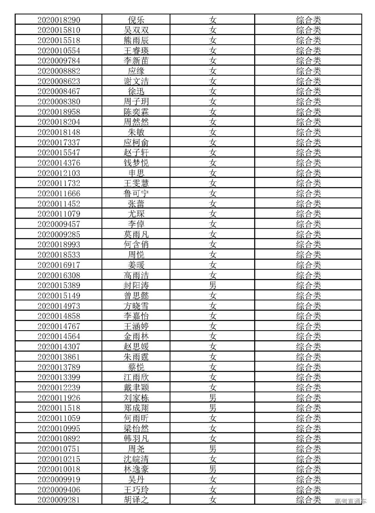
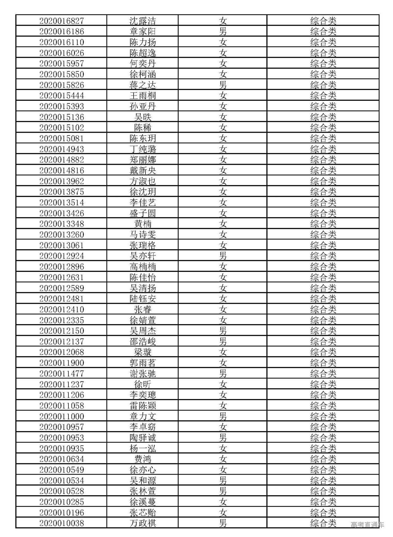
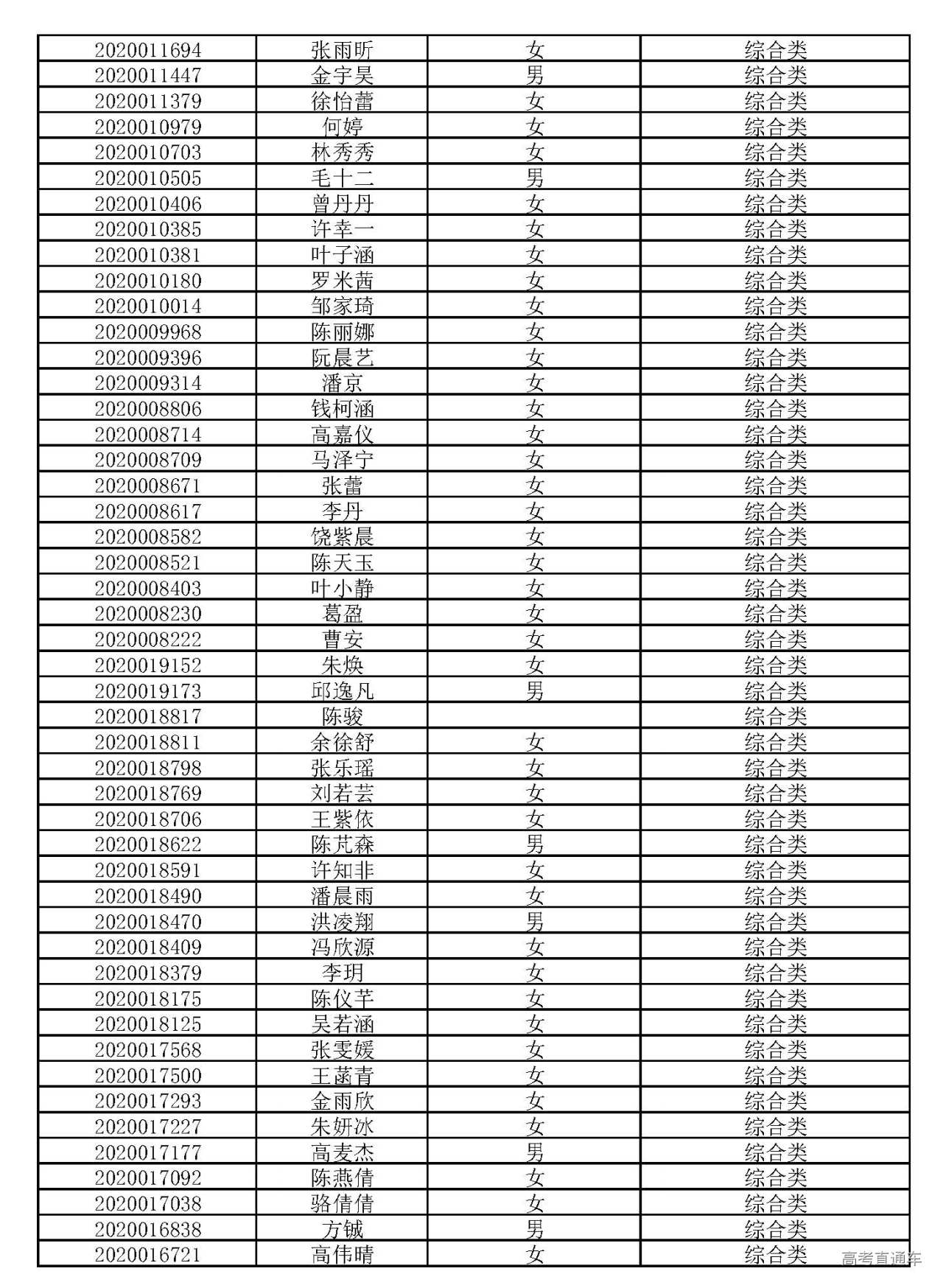
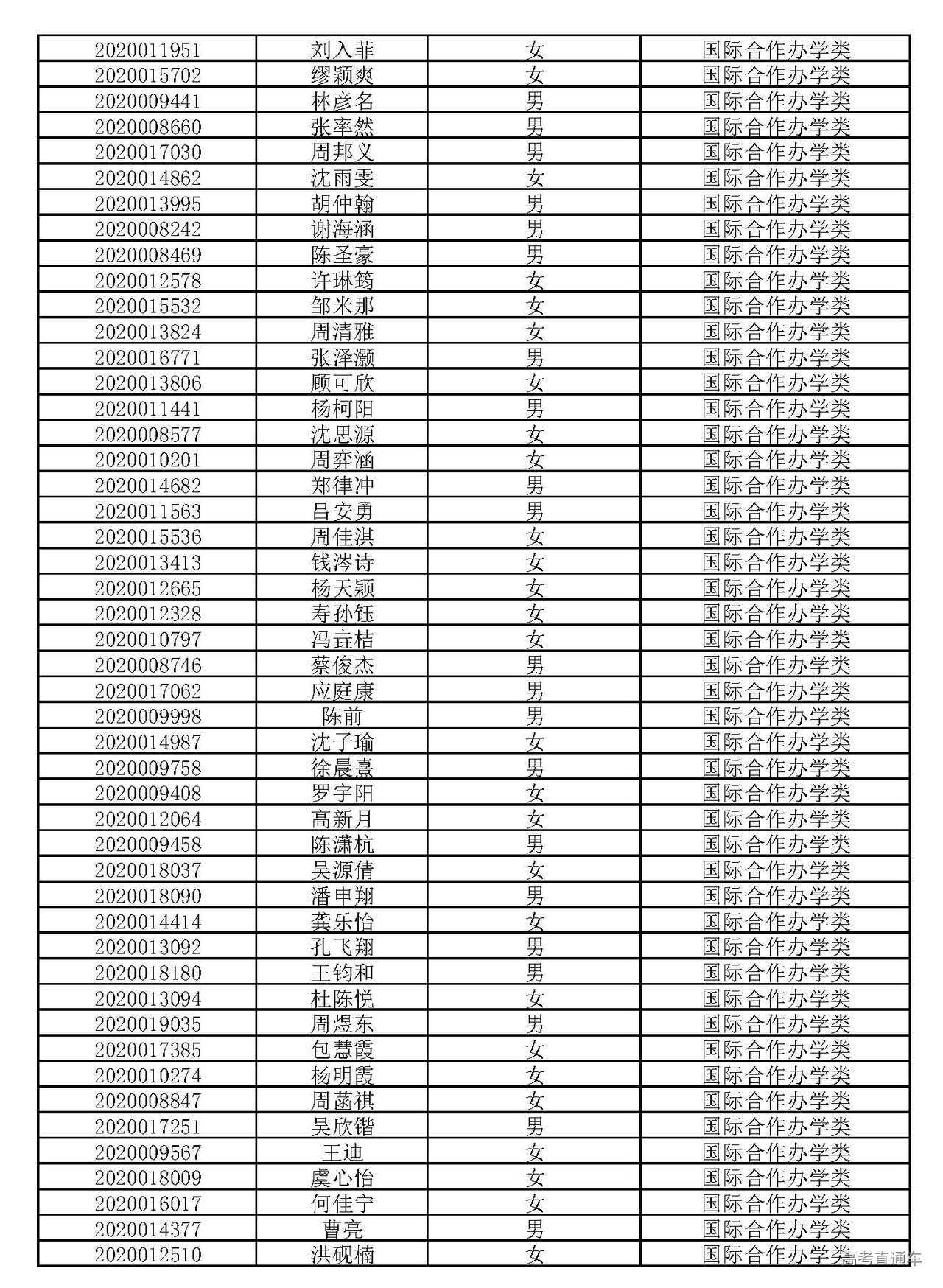
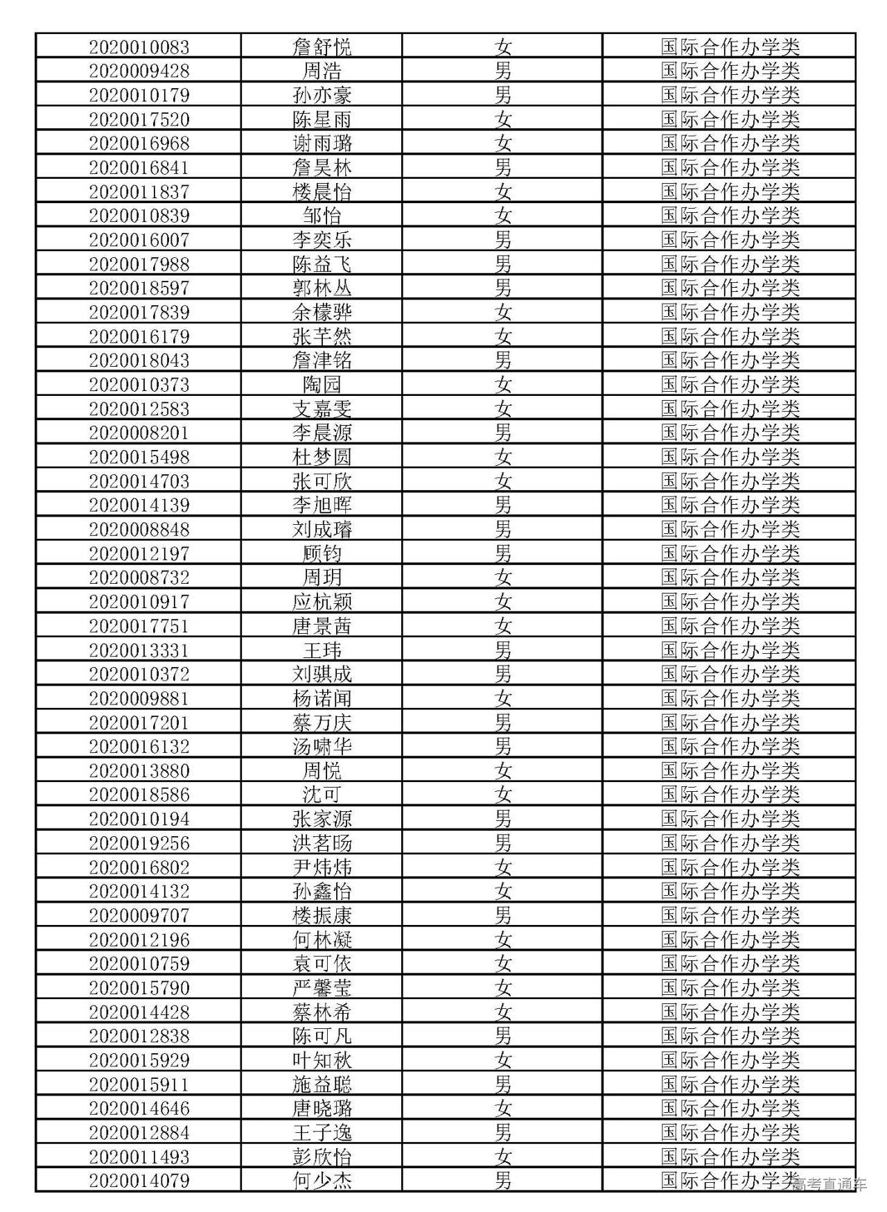
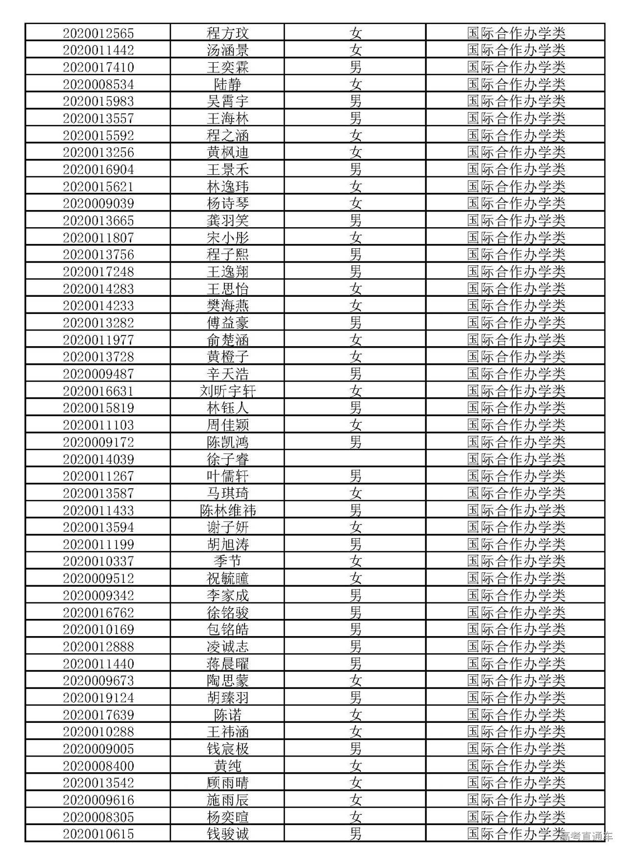
6月19日,浙江财经大学本科招生网公布浙江财经大学关于公布2020年“三位一体”综合评价招生书面评审结果的公告,共计2402人通过初审。具体如下:
浙江财经大学关于公布2020年“三位一体”综合评价招生书面评审结果的公告
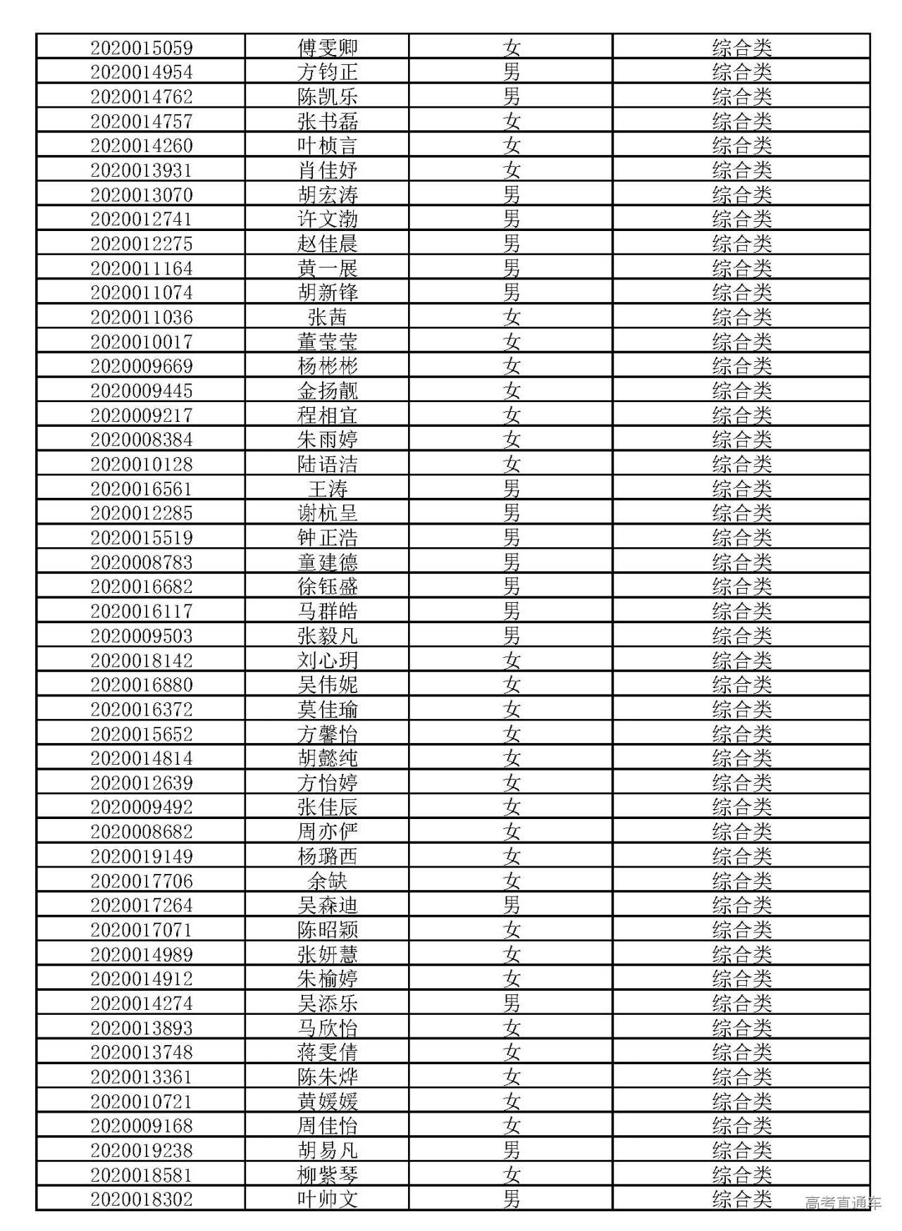
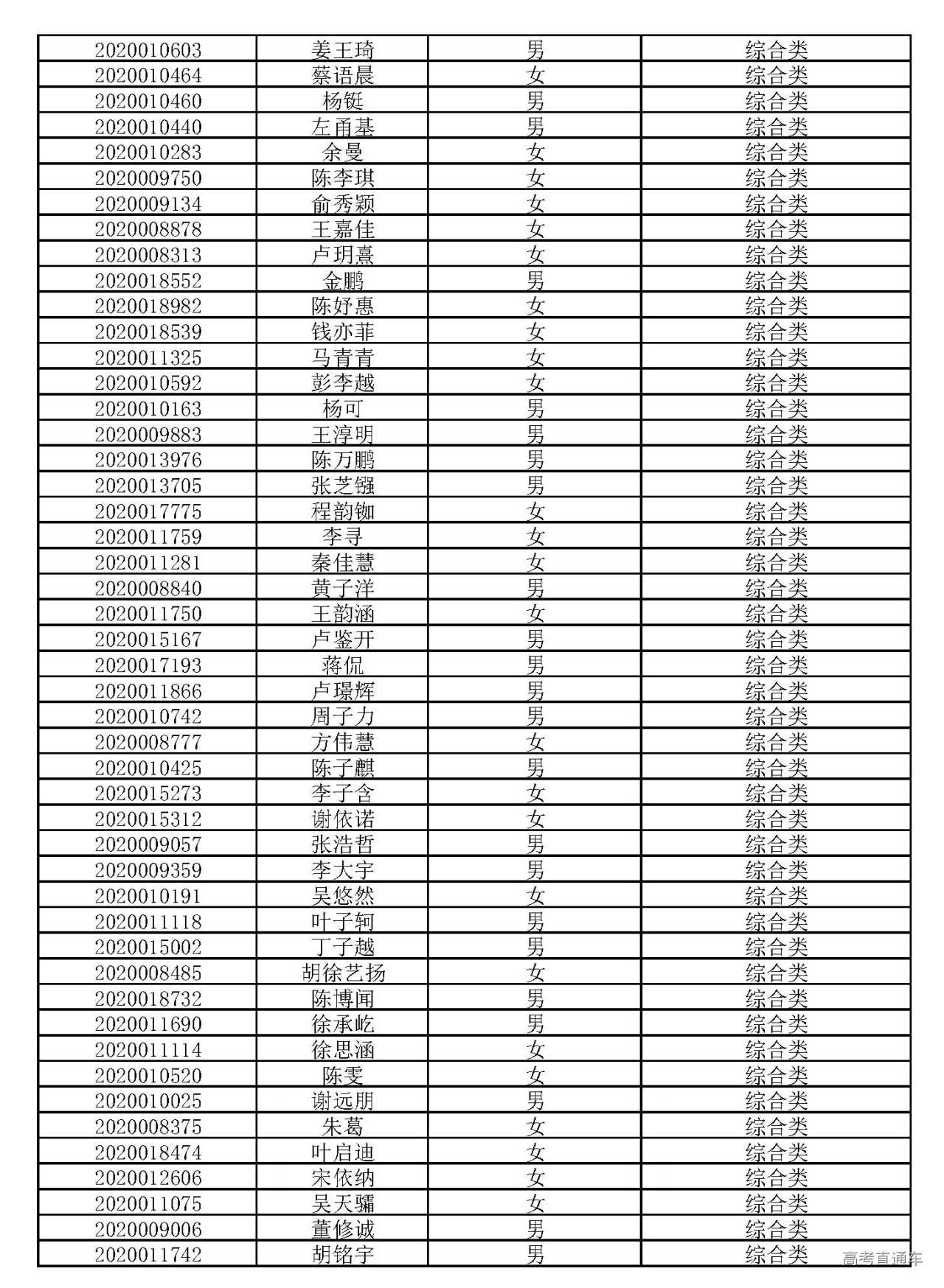
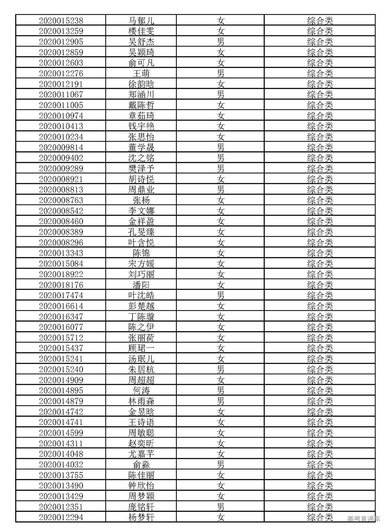
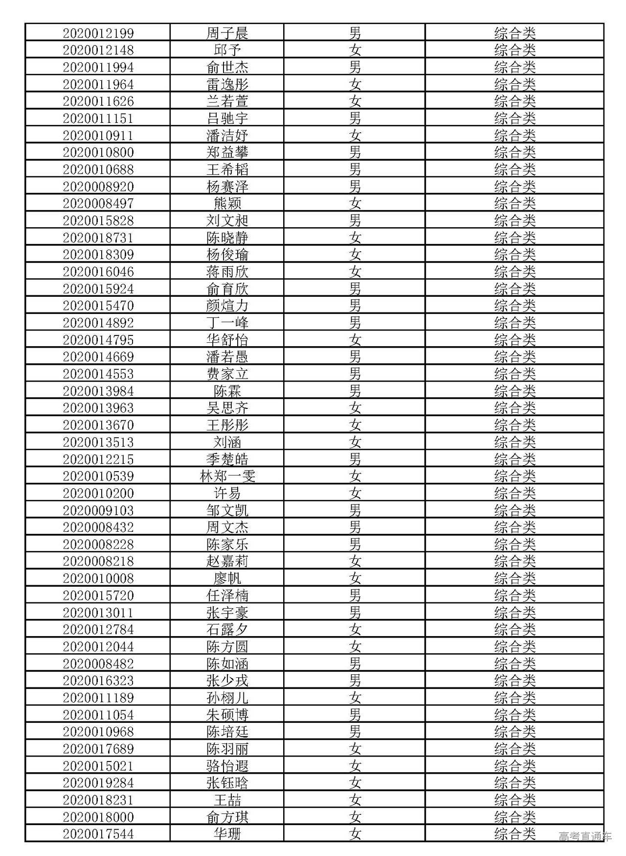
我校2020年“三位一体”综合评价招生计划400人,网上注册报名11088人。按照浙江省教育考试院有关要求和我校2020年“三位一体”综合评价招生章程的规定,根据考生的学业水平考试成绩和素质特长成绩,参考中学阶段综合表现情况,经学校资格审查,专家委员会认定,其中综合类通过书面评审2222人(含同分),国际合作办学类通过书面评审180人。通过书面评审考生,获得参加综合测试资格。
现将通过书面评审获得综合测试资格的考生名单公示如下:
公示时间:从即日起至6月23日16:00止。
如对以上公示结果有异议的,请联系我校本科招生办,电话:0571-87557480传真:0571-87557377。
考生个人书面评审结果已同时发布在我校“三位一体”综合评价招生网上报名系统(网址:http://swyt.zufe.edu.cn/)。请各位考生用个人账号登录网上报名系统查询书面评审结果。通过书面评审的考生务必根据学校相关通知及时缴费、防疫情况登记、综合测试网上确认、打印测试通知书等,并按时来校参加综合测试。


















































