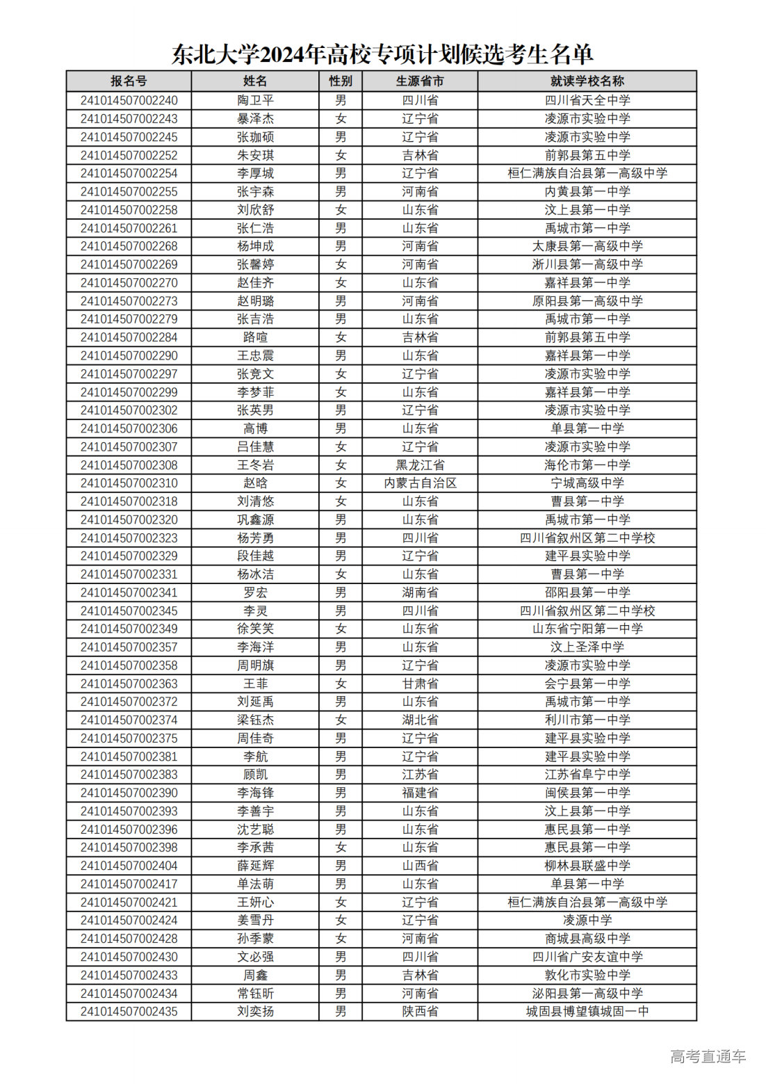
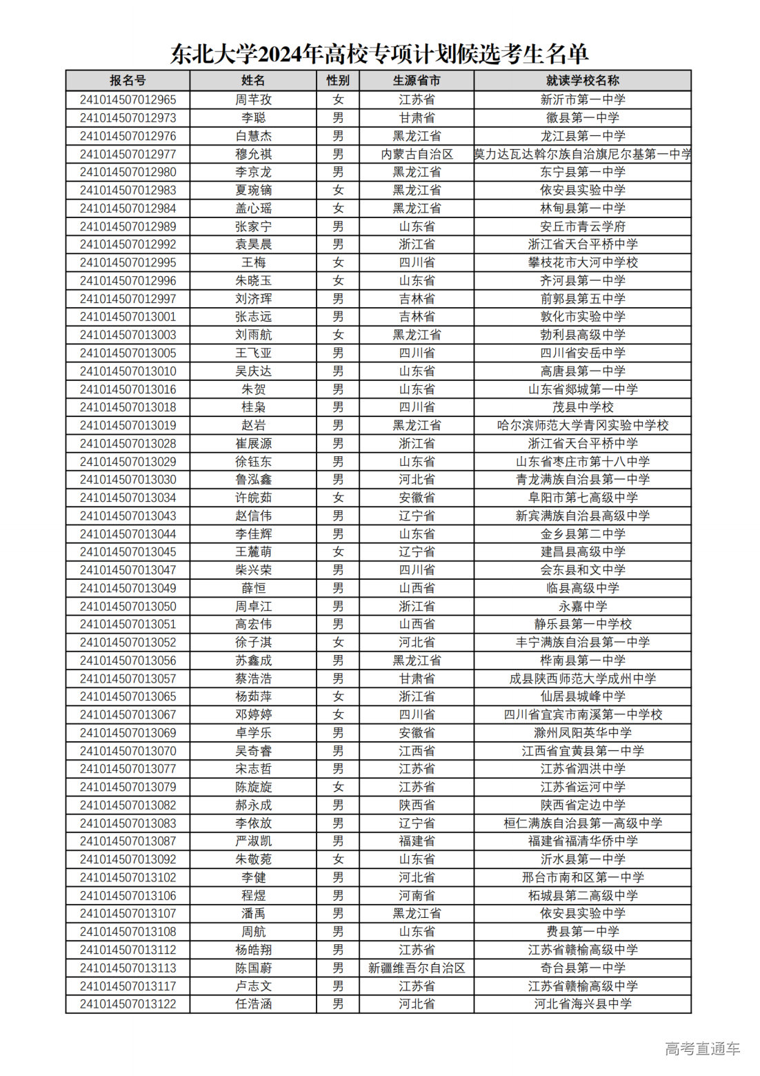
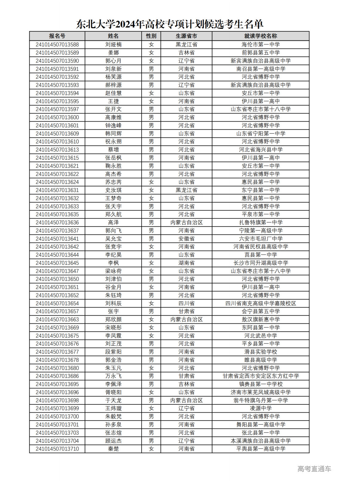
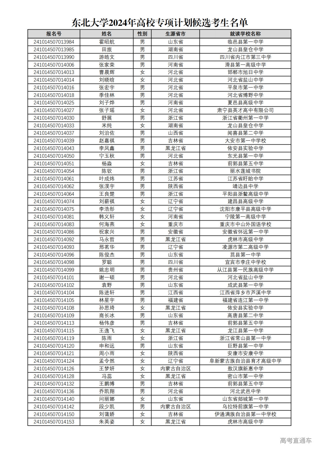
按照教育部有关文件精神和《东北大学2024年高校专项计划招生简章》,我校根据考生材料初审及专家评委资格初审意见确定高校专项计划候选考生。现将候选考生名单进行公示,希望社会各界予以监督。若有考生不符合我校报名条件,弄虚作假,一经查实立即取消候选资格。公示期到6月6日17:00截止。电话:024-83687392、23891272(传真)。
二、分省分专业招生计划
三、录取原则
经公示无异议的高校专项入选资格考生,须参加全国统一高考,政审体检合格,按照考生所在省高校专项计划志愿填报要求和我校相关要求填报高考志愿,高考文化课成绩(不含加分,下同)达到考生所在省份理工类第一批本科录取控制分数线,对于合并本科批次或实施高考综合改革的省份,按照省级招生考试机构确定的部分特殊类型相应最低录取控制分数线执行,我校根据考生高考文化课成绩和所填报专业志愿,结合我校在考生所在省投放的高校专项分省分专业(类)招生计划,按照“分数优先、遵循志愿”的原则,即在思想政治品德考核和体检均合格的前提下,以考生高考文化课成绩为依据,从高分到低分按照考生所报专业志愿(不含专业服从志愿)录取,优先满足高考文化课成绩高的考生的专业志愿,专业志愿之间不设分数级差,直至录取额满。如生源不足,本计划不进行征集志愿或降分录取。按专业大类录取的考生,入学后需参加相应学院的大类招生专业分流。
说明:对高考综合改革省(市)考生的选考科目要求与我校在改革省(市)公布的2024年同专业(类)选考科目范围相同,报名不分文理,其中河北、辽宁、江苏、福建、湖北、湖南、广东、重庆、吉林、黑龙江、安徽、江西、广西、贵州和甘肃等15个省市考生首选科目须为物理。
























































































































