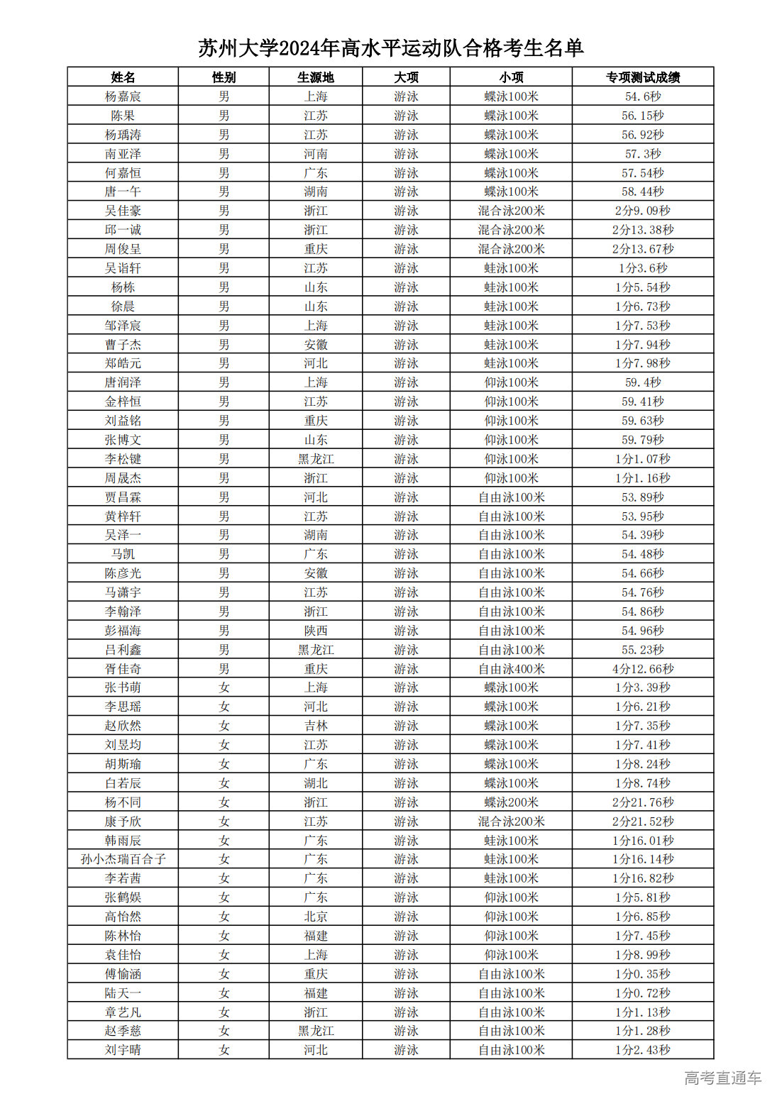
按照教育部通知要求及《苏州大学2024年高水平运动队招生简章》规定,我校根据体育专业测试成绩情况,结合报名资格审核结果、体育单招录取结果和招生计划,分小项确定2024年高水平运动队合格名单,现予以公示。
公示时间:2024年6月6日至6月12日。对公示有异议的,可在公示时间内,以实名方式向学校招生办公室反映。反映情况和问题必须实事求是,凡是以单位名义反映的必须加盖公章,以个人名义反映的必须署真实姓名、所在单位和联系方式。学校招生办公室对反映人和反映情况将严格保密,并对反映的情况和问题进行认真调查核实,对有关调查结果向反映单位、反映人进行反馈。
联系电话:0512-67507943、67507949、67507942(传真)。
电子邮箱:zsb@suda.edu.cn。
