在黑龙江报考中央司法警官学院的广大考生:
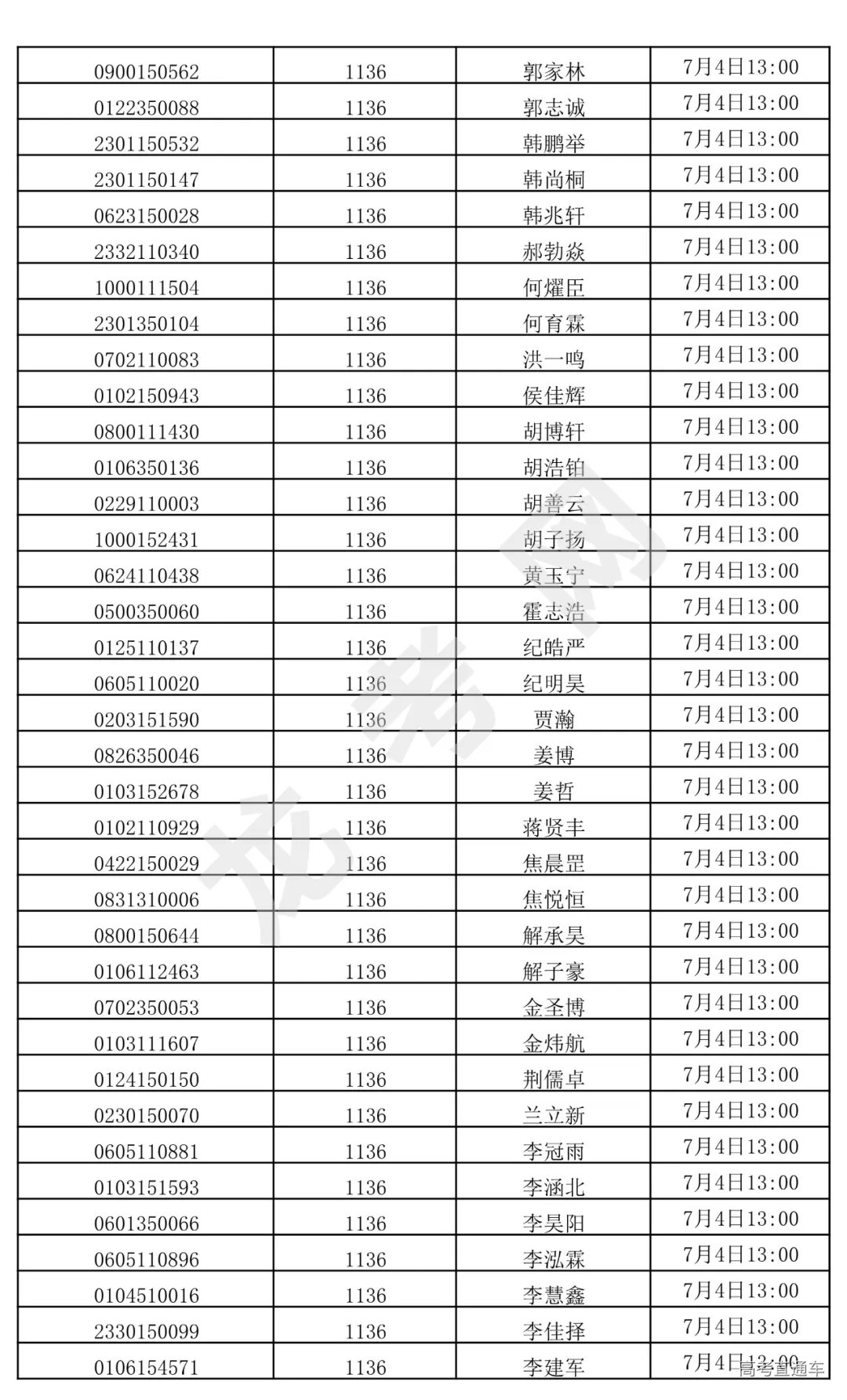
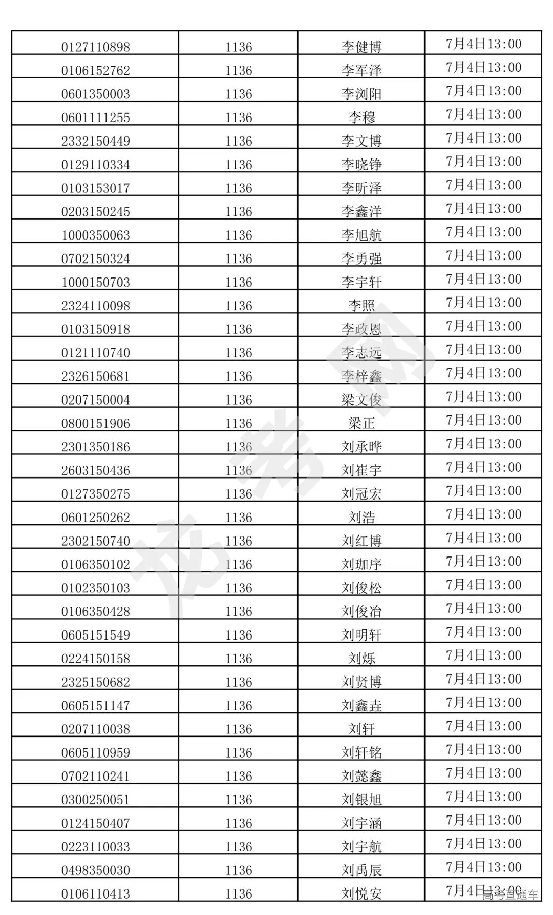
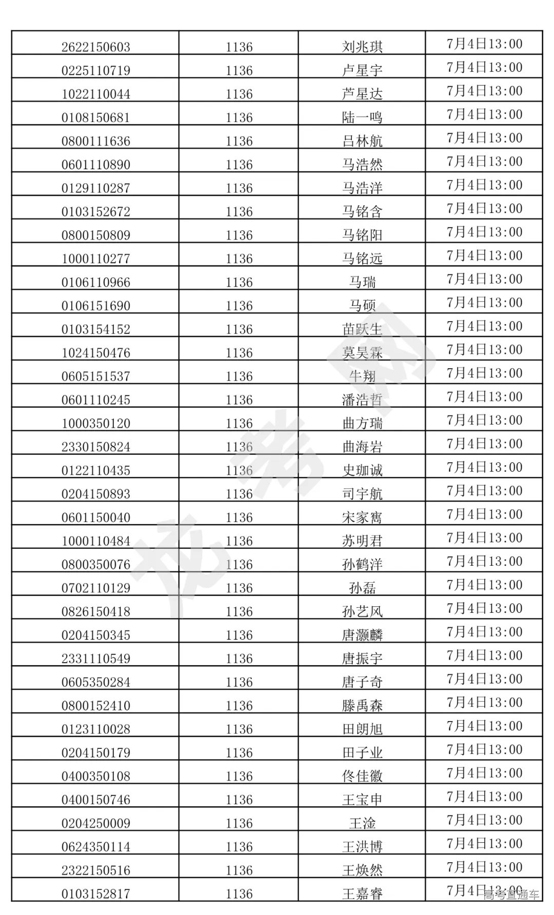
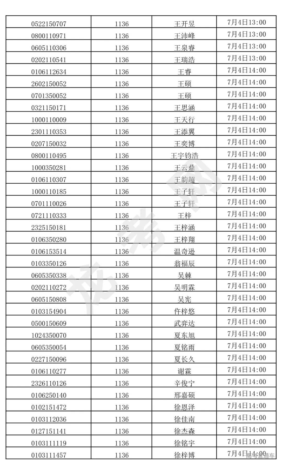
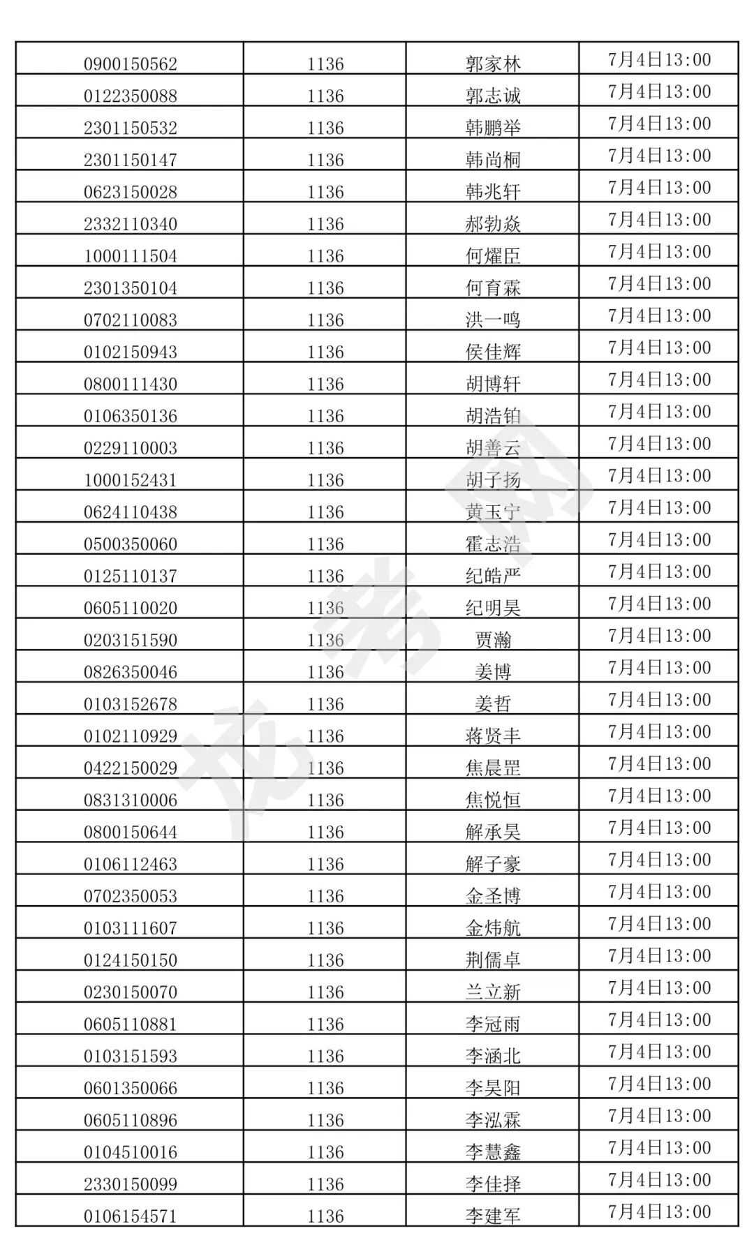
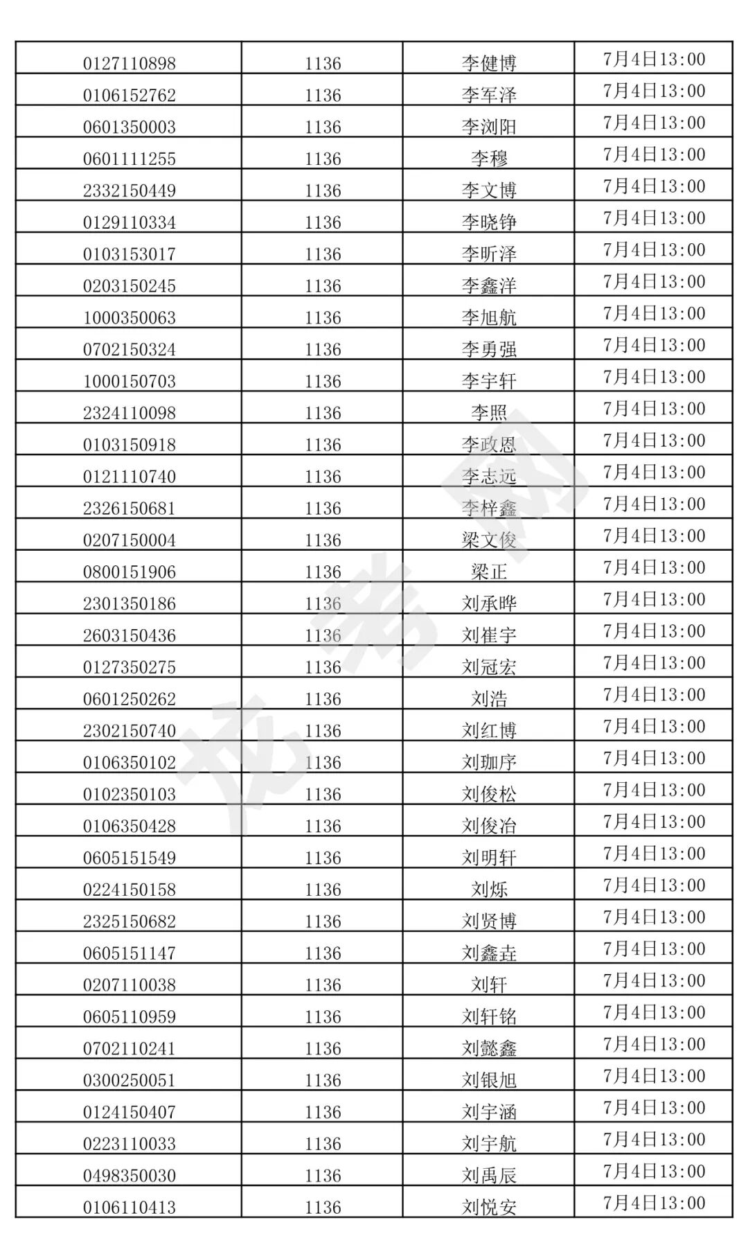
按照《2025年中央司法警官学院招生政治考察体检面试体能测试公告》有关要求,现将参加2025年中央司法警官学院体检、面试、体能测试的考生名单予以公布(见附件1),请各位考生按时参加体检、面试、体能测试。
特此通知。
各专业组最低分数线
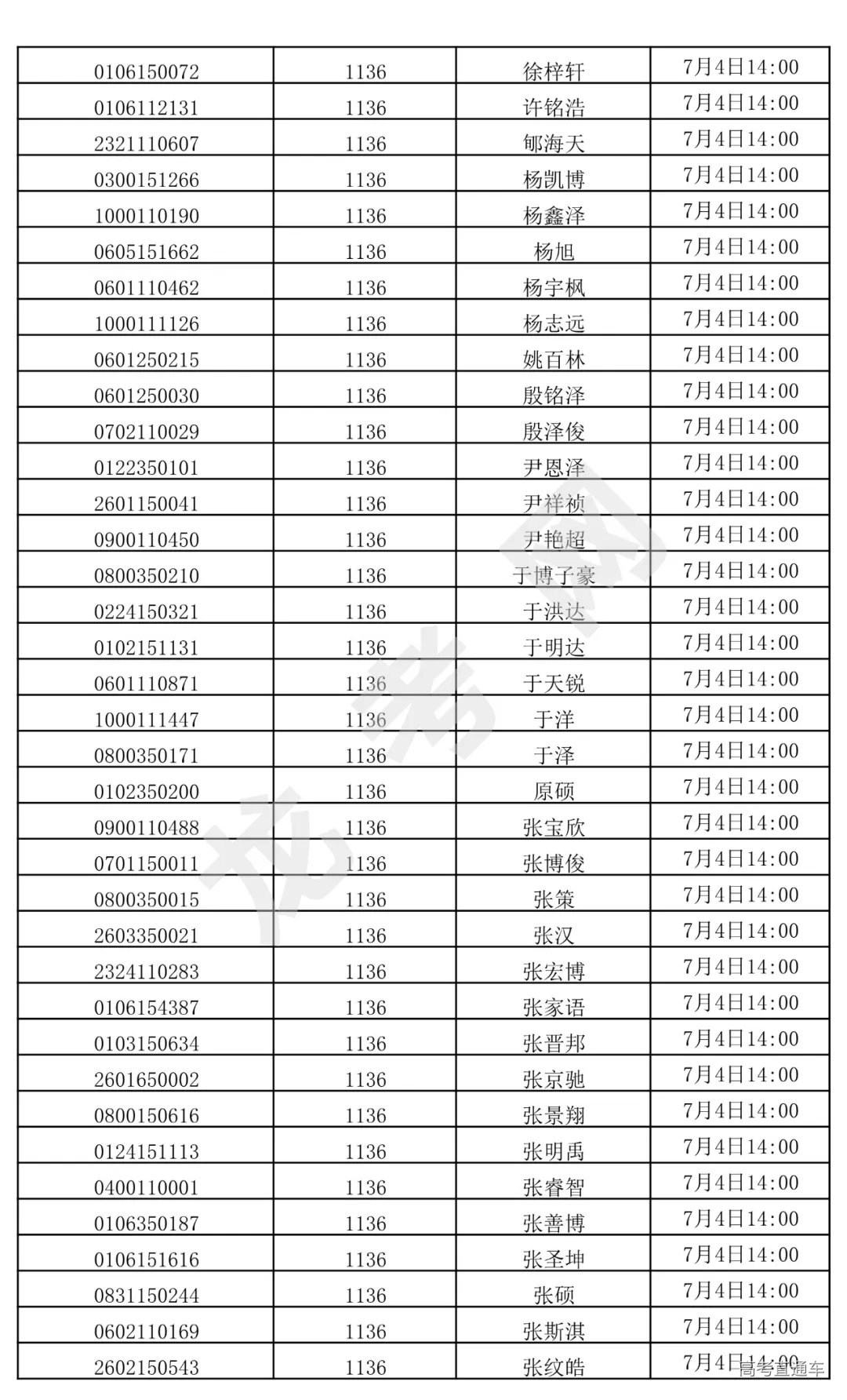
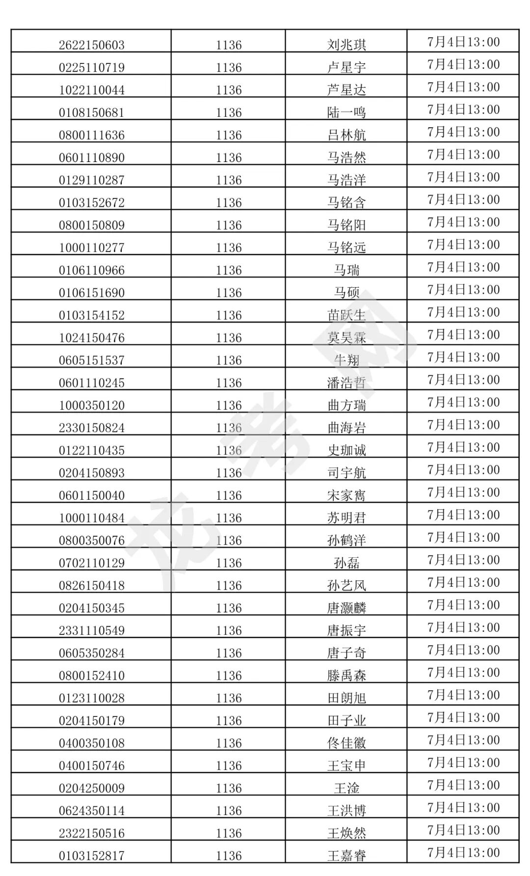
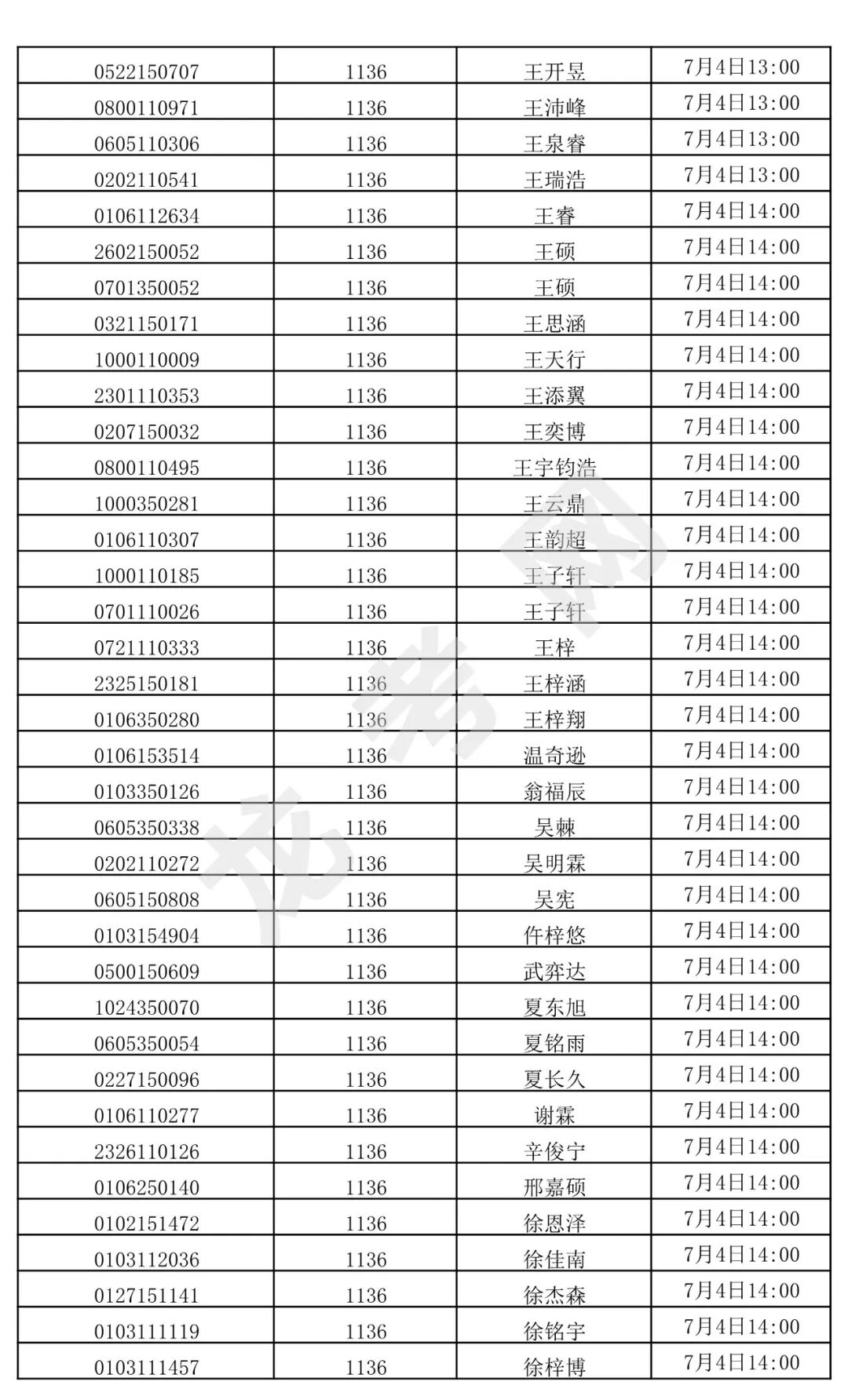
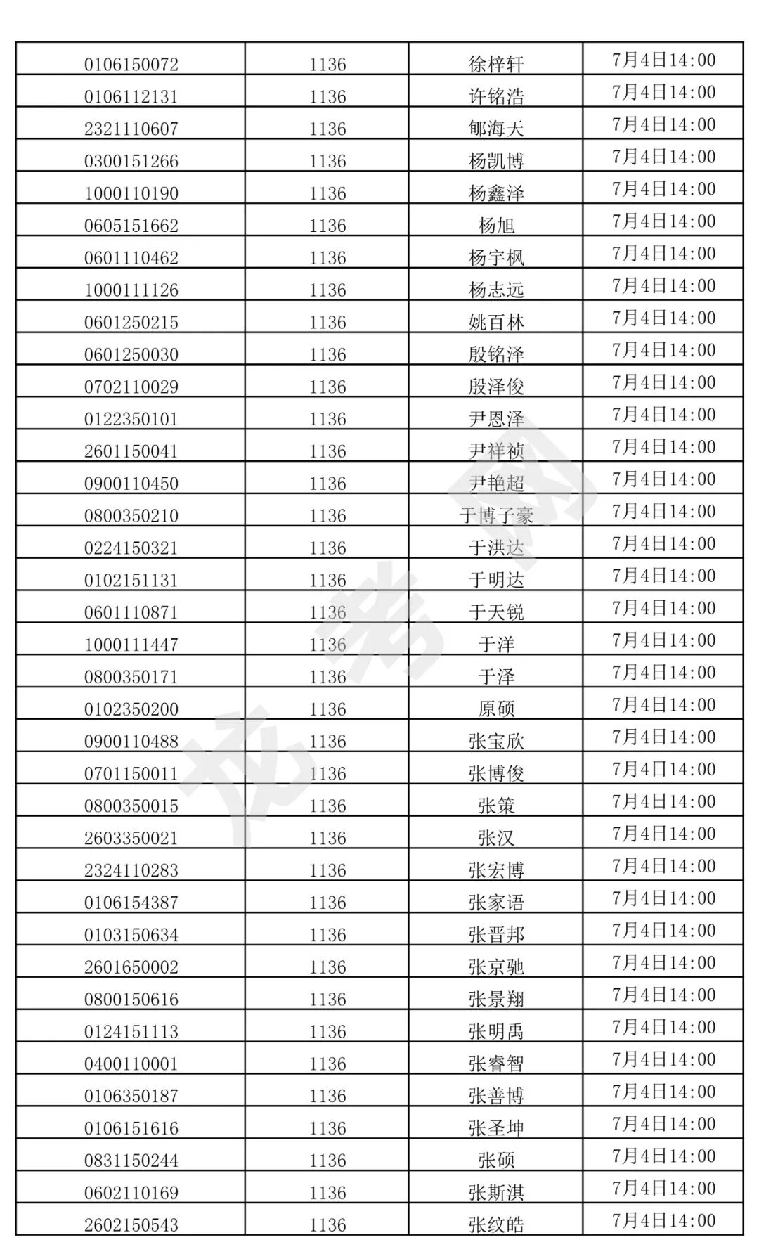
参加体检面试体能测试的考生名单
黑龙江省高级人民法院
黑龙江省司法厅
2025年7月2日
查看完整试题
登录查看完整试题答案
阅读数:766
特别声明:
1. 本站注明稿件来源为其他媒体的文/图等稿件均为转载稿,本站转载出于非商业性的教育和科研之目的,并不意味着赞同其观点或证实其内容的真实性。如转载稿涉及版权等问题,请作者在两周内速来电或来函联系,本站根据实际情况会进行下架处理。
2. 任何媒体、网站或个人未经本网协议授权不得转载、链接、转贴或以其他方式复制发表,违者本站将依法追究责任。
1. 本站注明稿件来源为其他媒体的文/图等稿件均为转载稿,本站转载出于非商业性的教育和科研之目的,并不意味着赞同其观点或证实其内容的真实性。如转载稿涉及版权等问题,请作者在两周内速来电或来函联系,本站根据实际情况会进行下架处理。
2. 任何媒体、网站或个人未经本网协议授权不得转载、链接、转贴或以其他方式复制发表,违者本站将依法追究责任。









