最近,车车为大家分享了关于2023年广东美术类统考的相关内容(点击查看详情)。今天,车车又为大家整理了与美术类统考有关的几类分数线,数据超全,事不宜迟快来看看吧!

一、术科统考合格线
二、高考录取最低分数线
三、高考成绩一分一段表
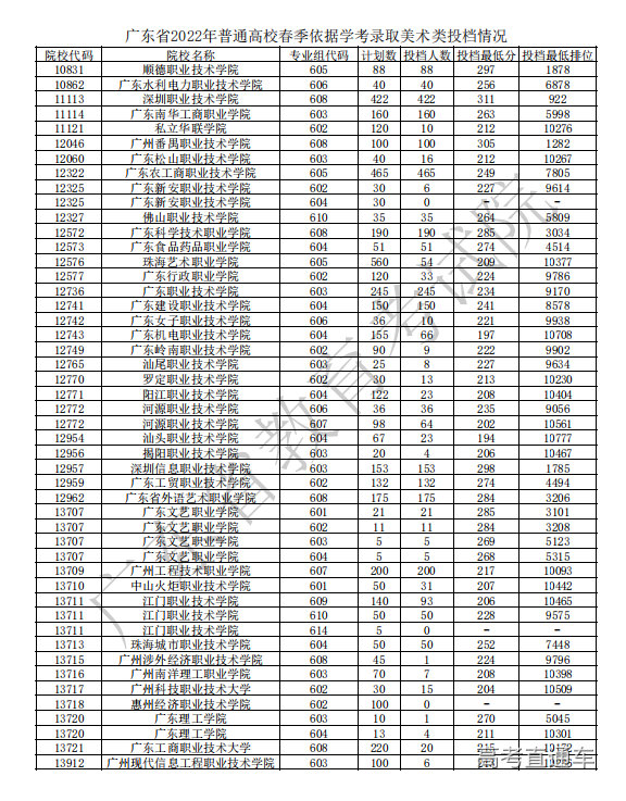
四、高考各院校投档情况
美术类统考合格线:本科185分,高职(专科)150分。
美术类:文化科总分130分,美术术科155分。
本科批次:文化科总分328分,美术术科195分。
专科批次:文化科总分230分,美术术科160分。
本科教师专项计划:文化科总分328分,美术术科195分。
本科批次:
专科批次:






























