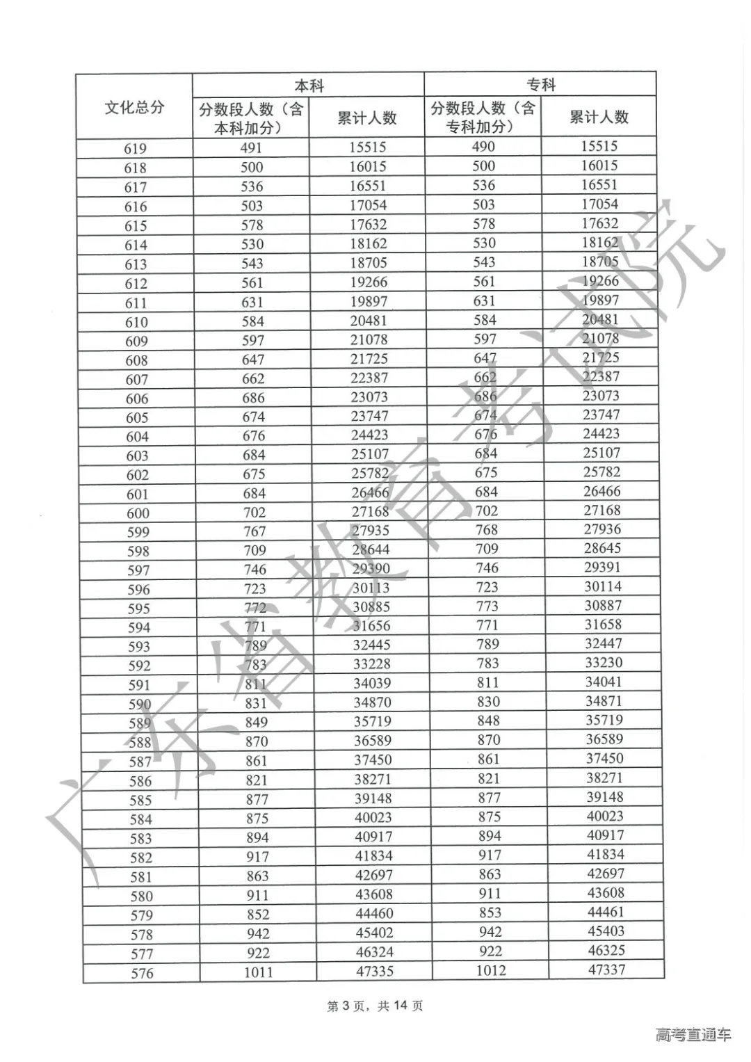
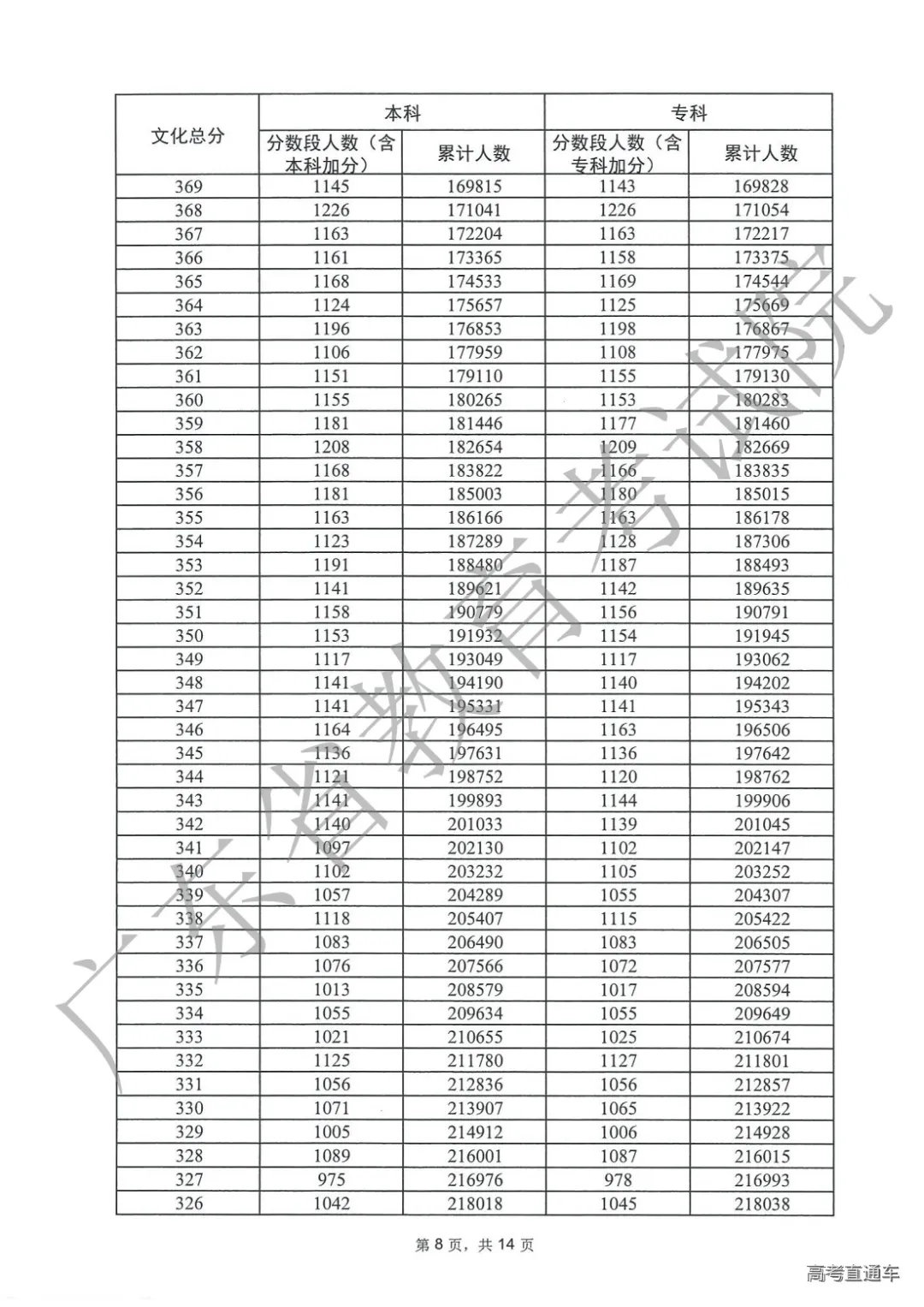
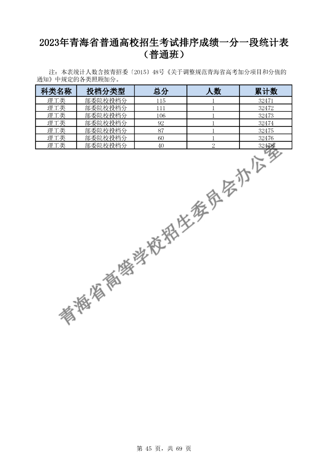
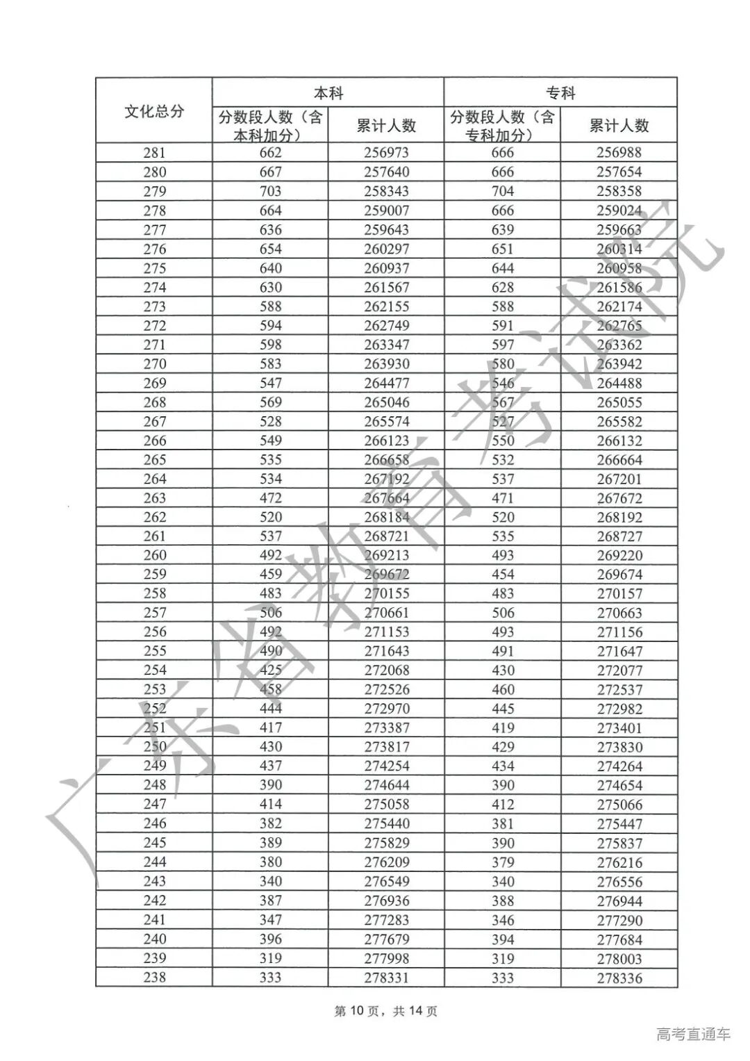
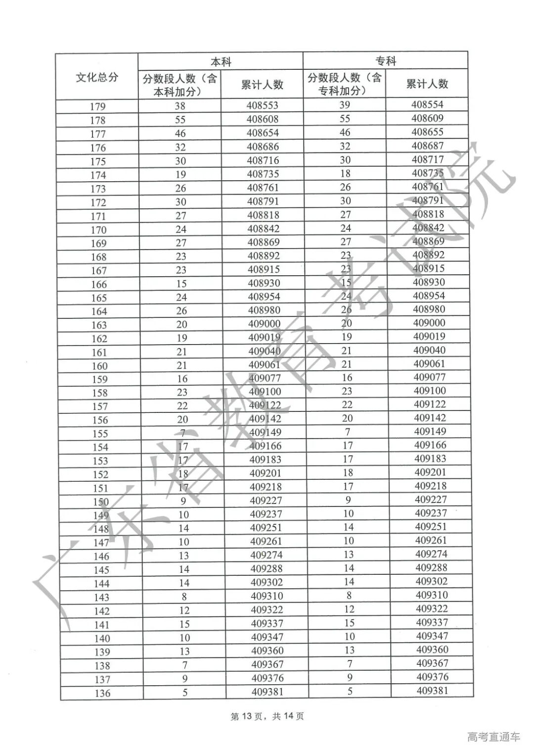
每年招生录取季,各省(市、区)招生考试部门都会在公布高考成绩的同时,公布“一分一段表”。所谓“一分一段”,就是根据考生考分(含各类照顾加分)从高到低排序,以一分为一段,制成考生投档分的“一分段表”。
之所以公布这个表,是为了让学生知道自己的成绩在全省考生中的排位,并大致了解到自己的“竞争”对手有多少,从而参考自己的排位情况更好地进行志愿填报。因此,看懂并利用好一分一段表就显得十分重要。
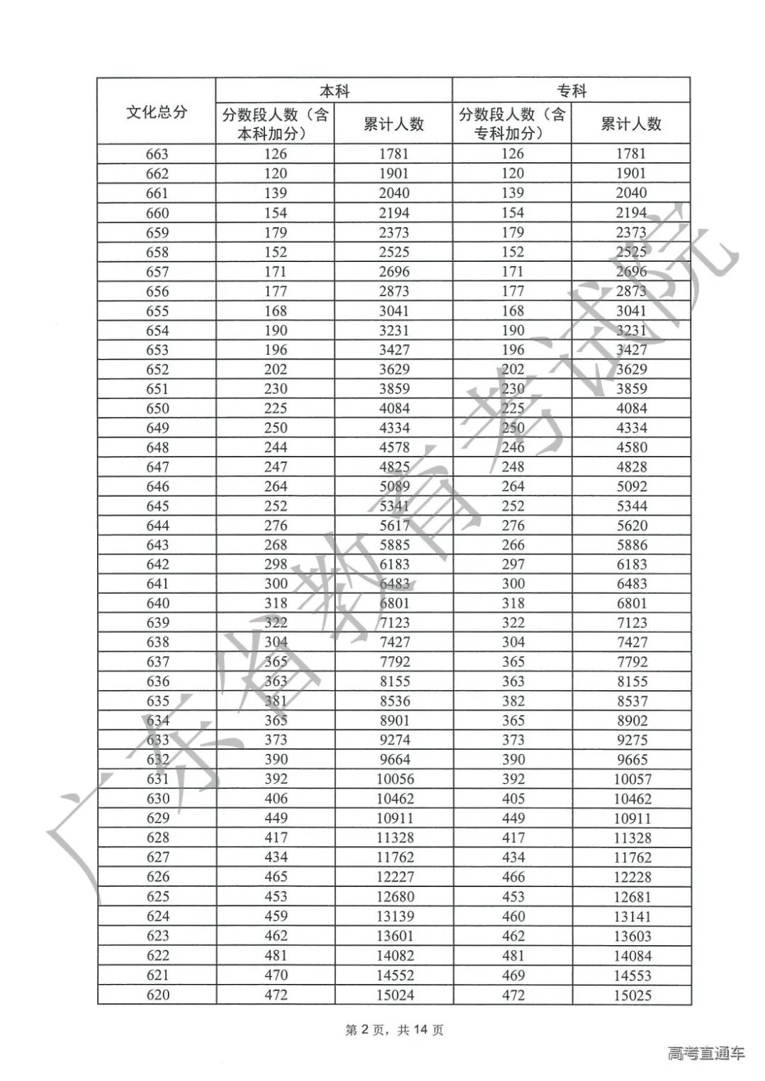
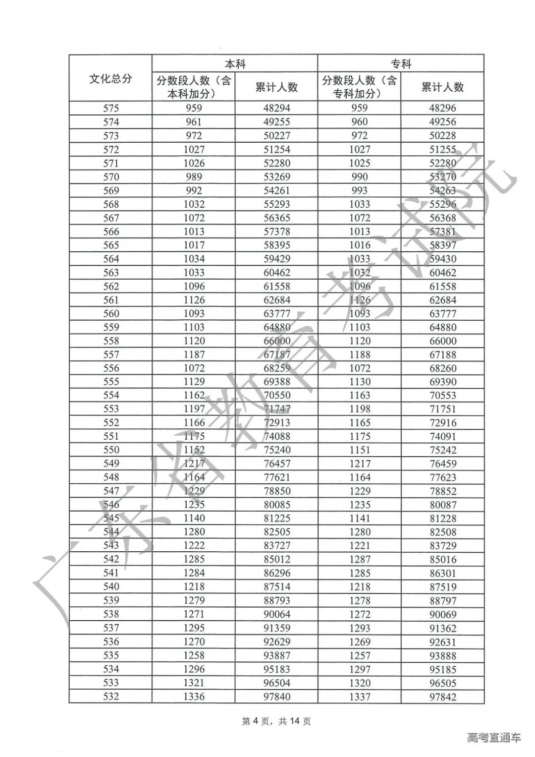
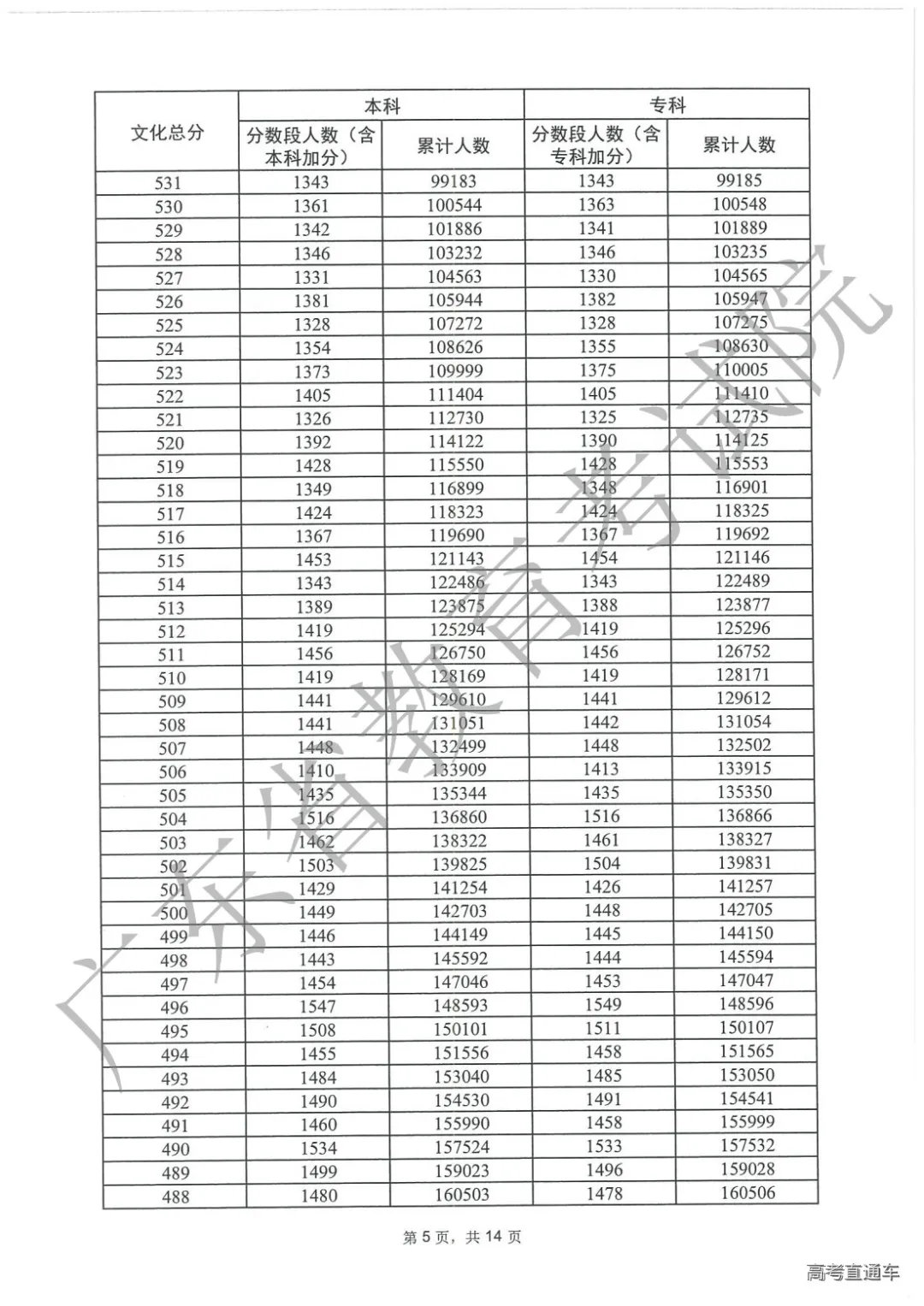
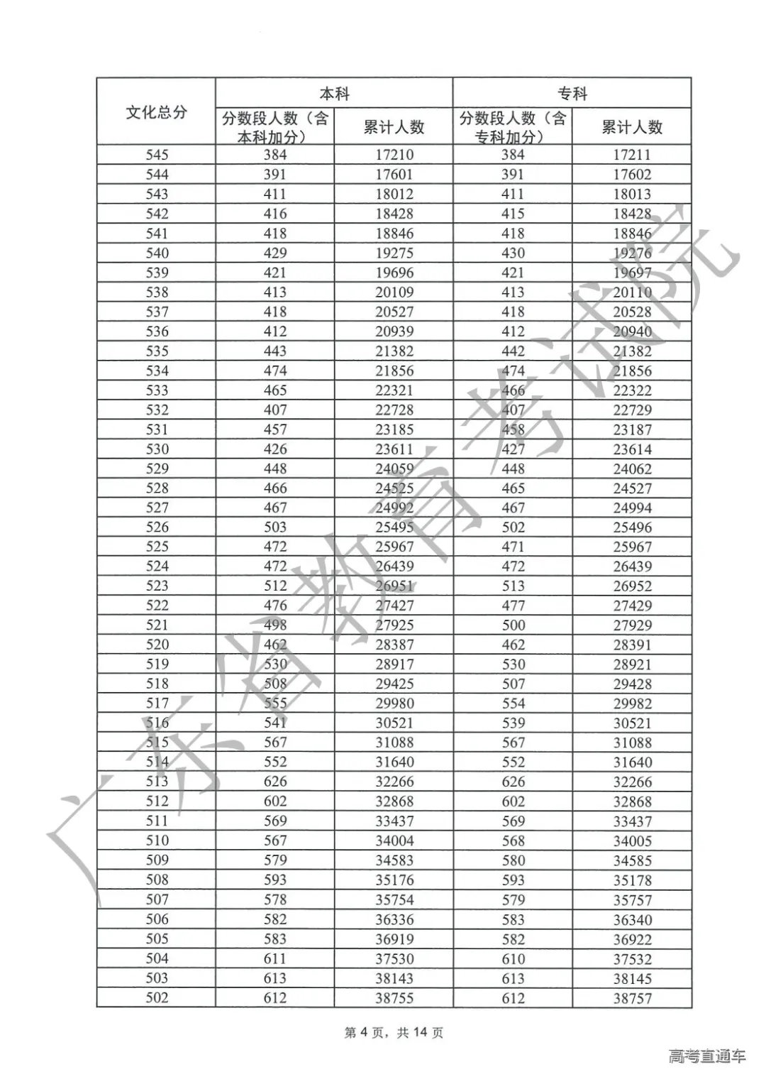
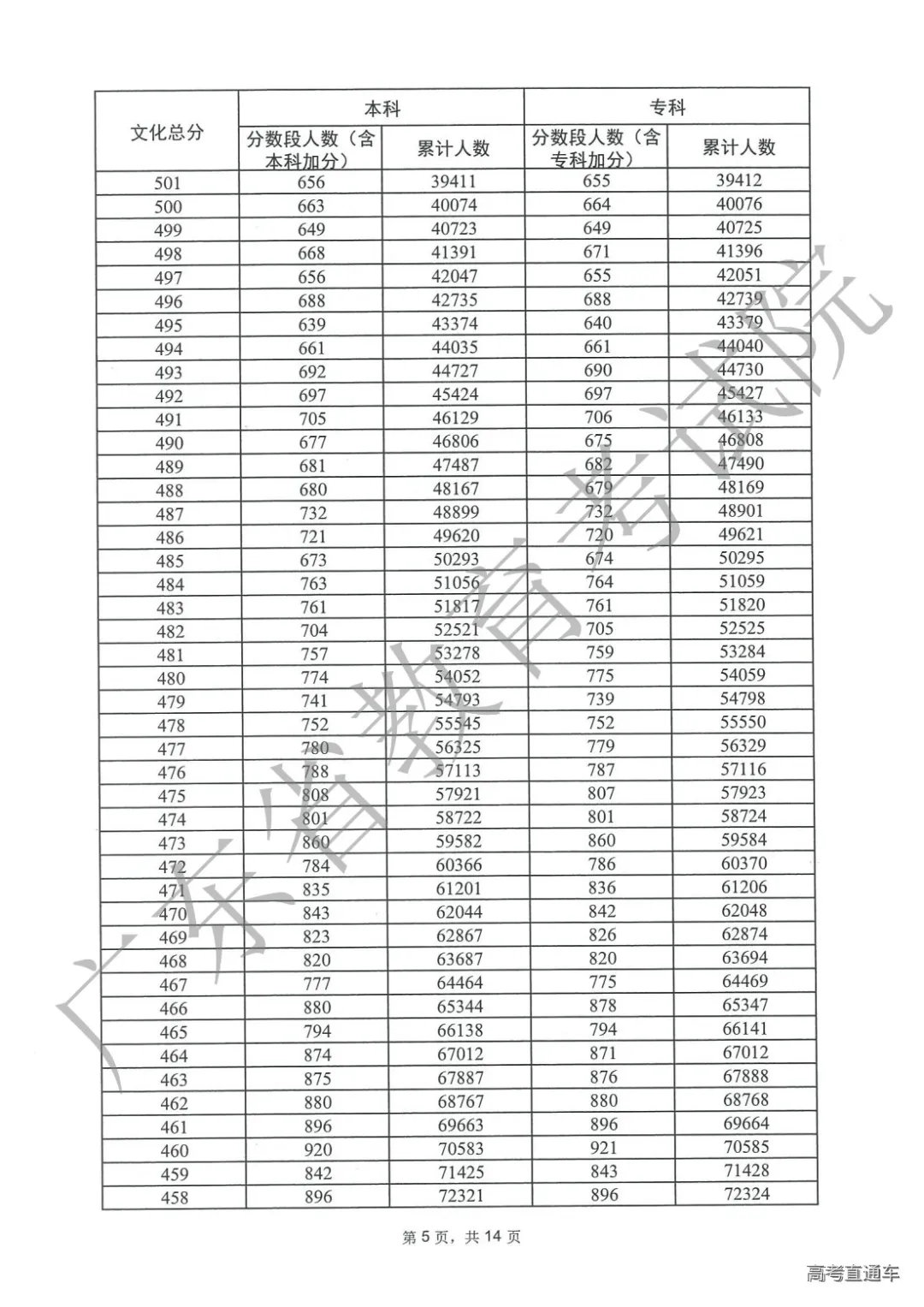
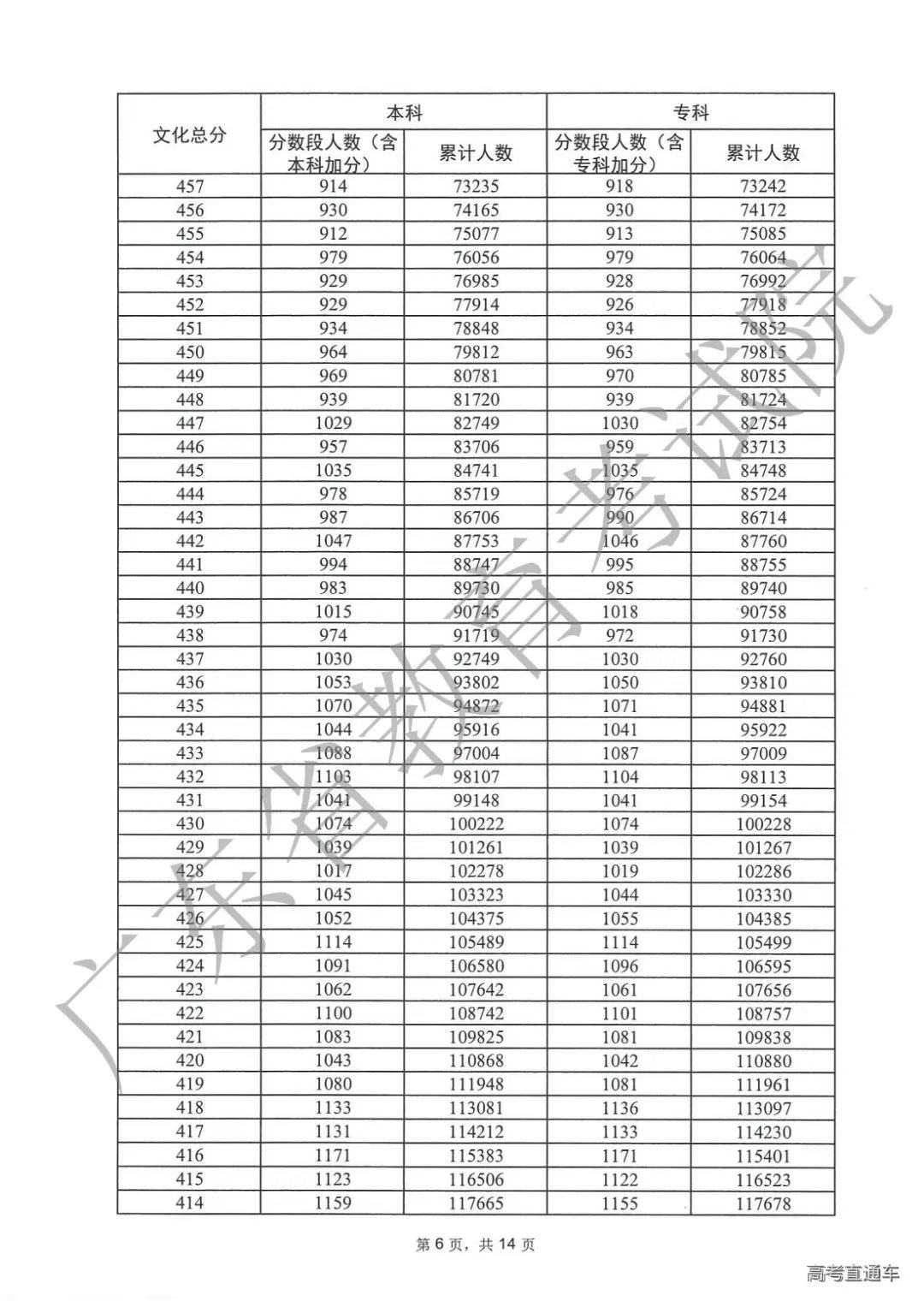
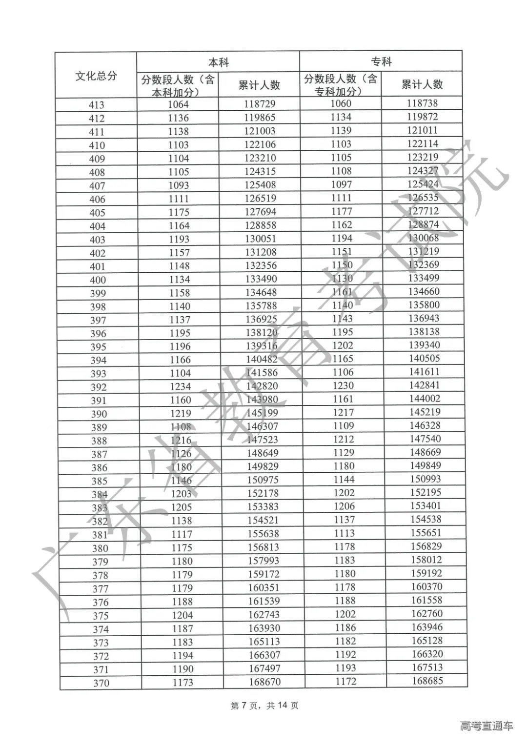
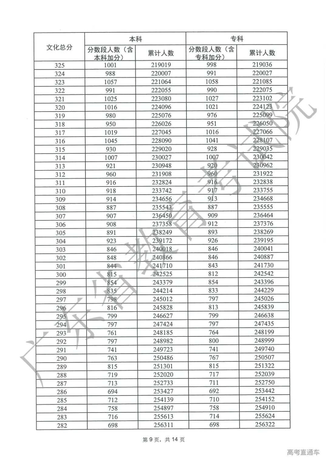
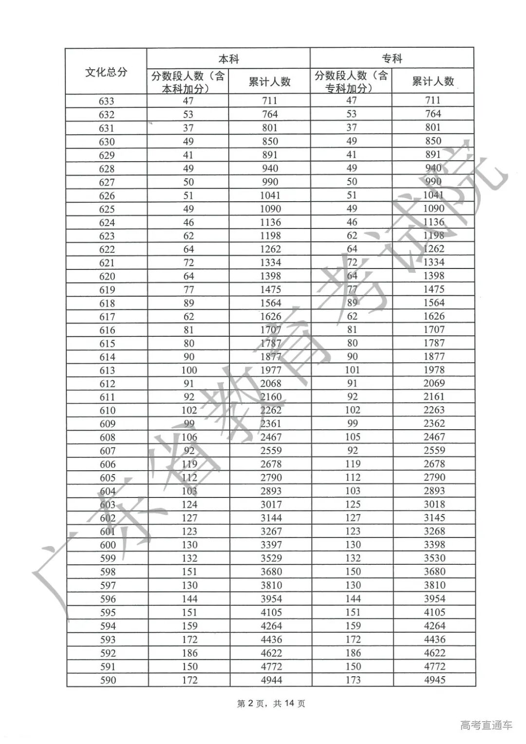
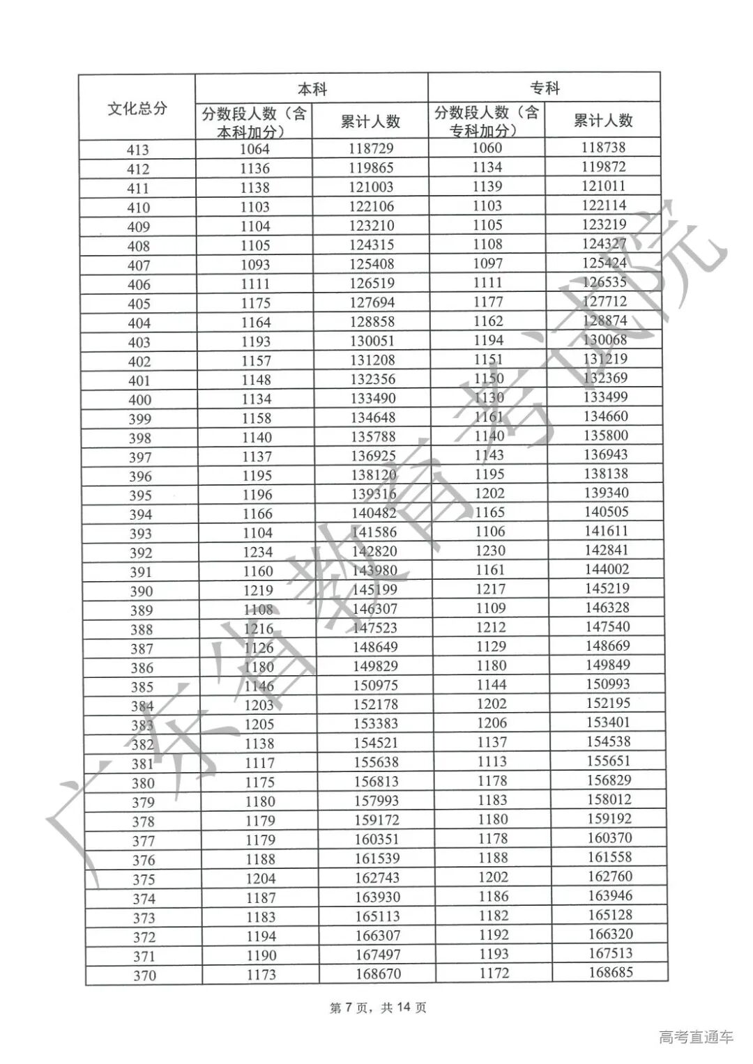
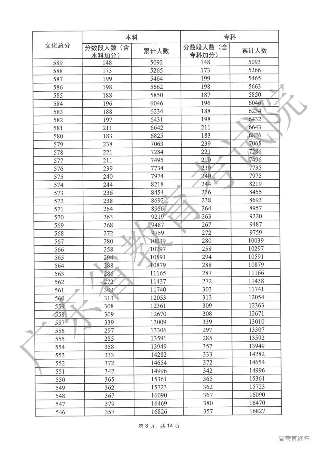
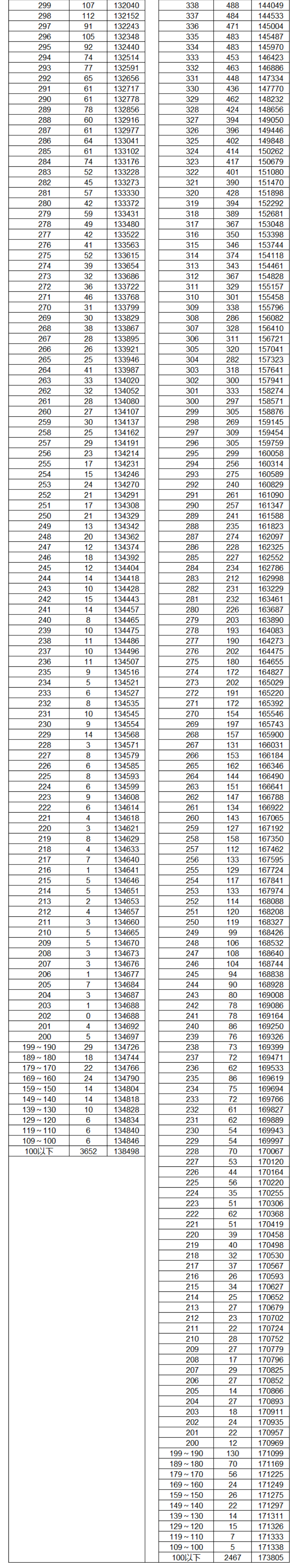
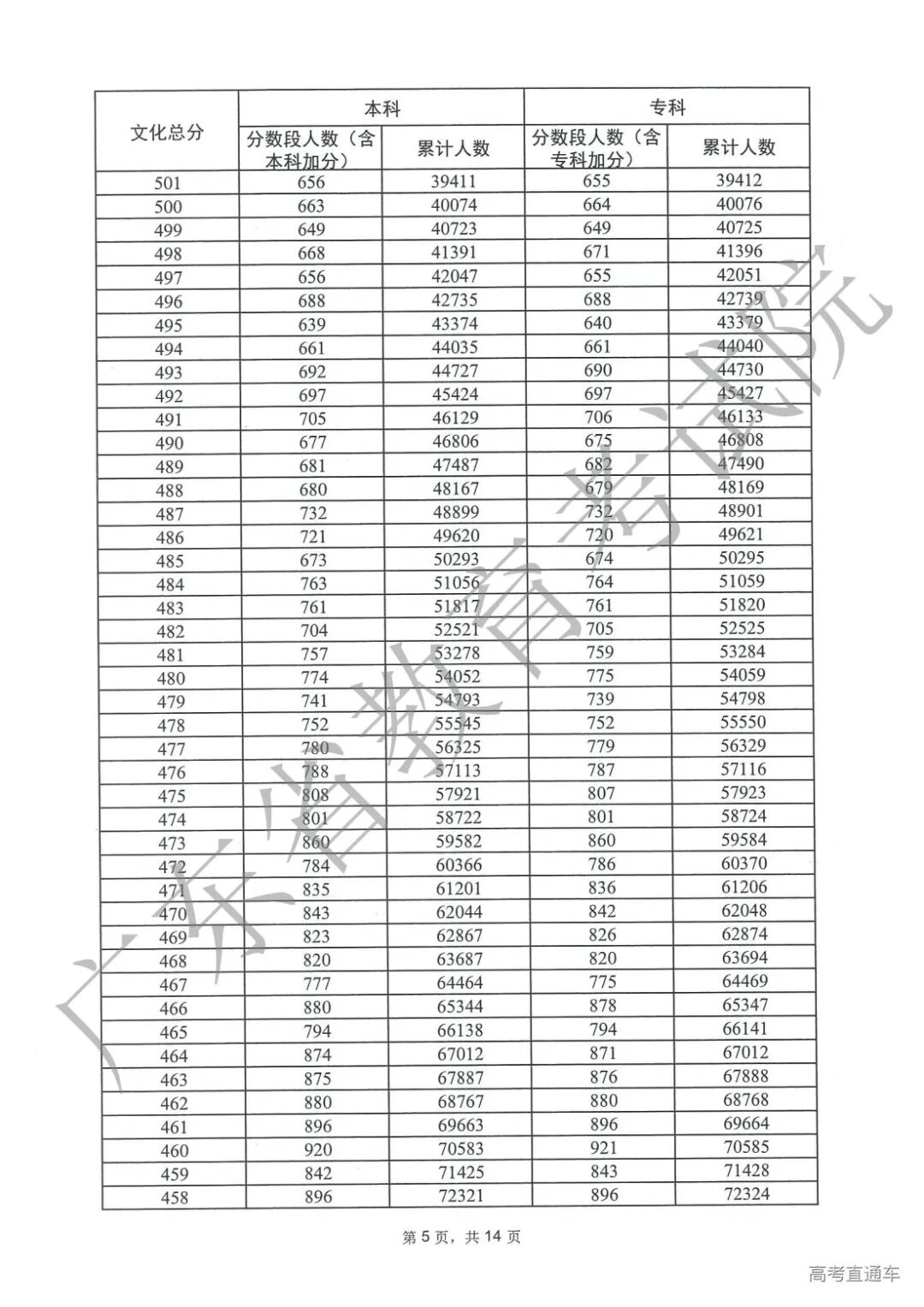
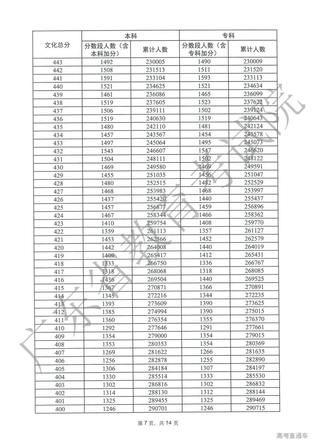
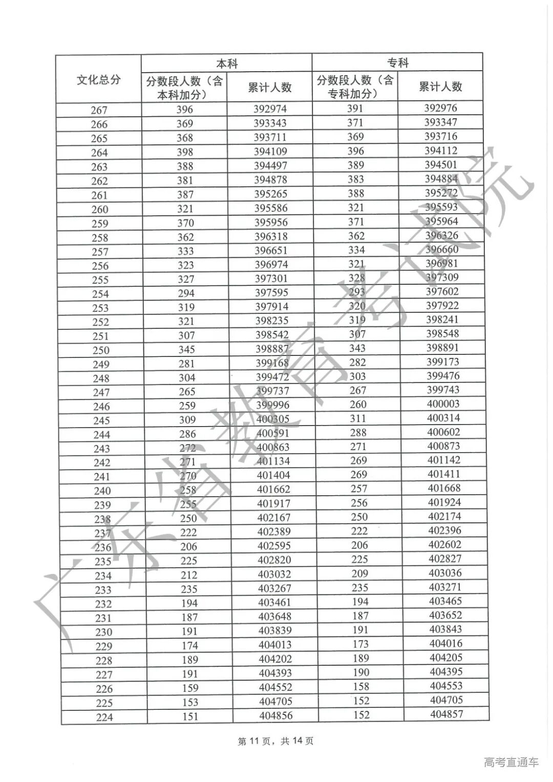
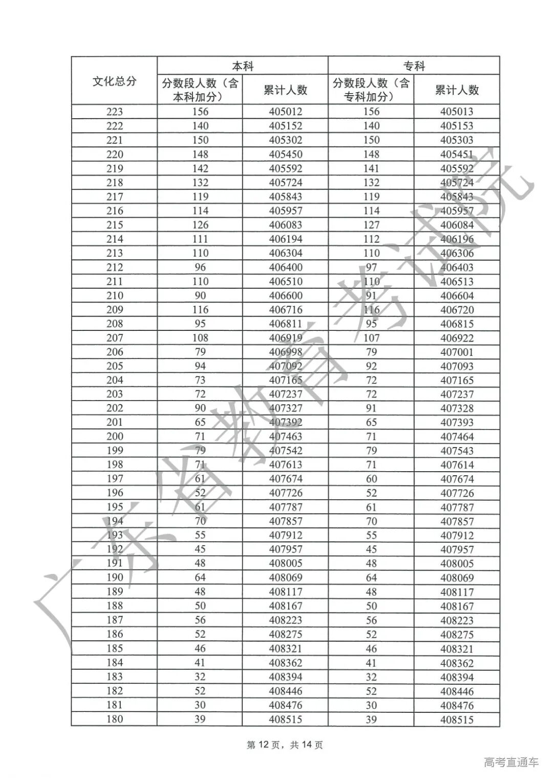
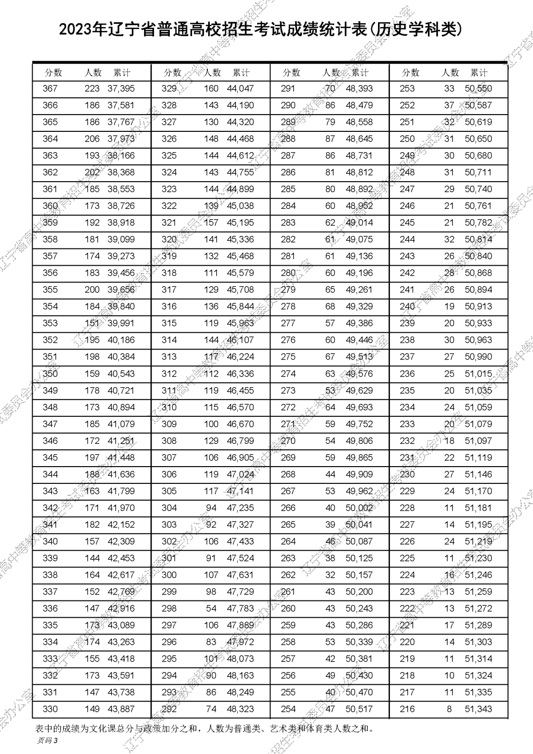
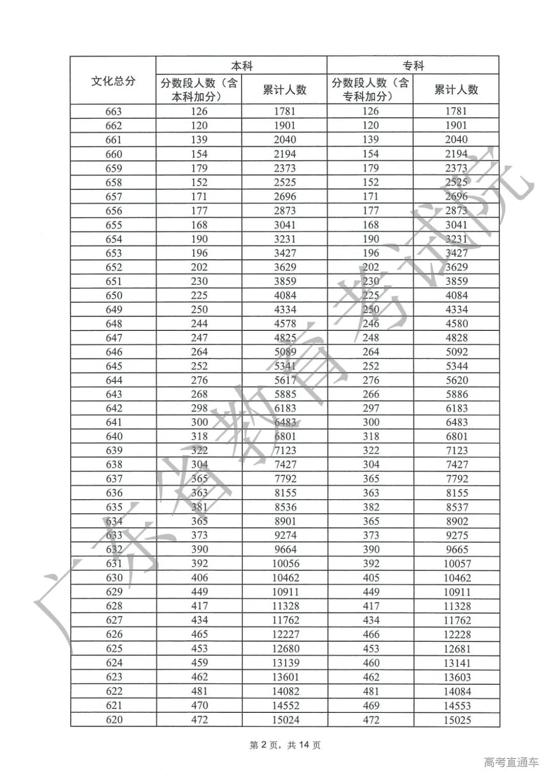
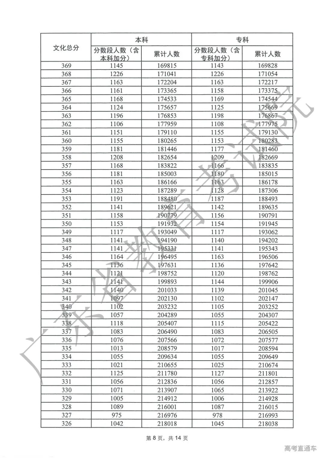
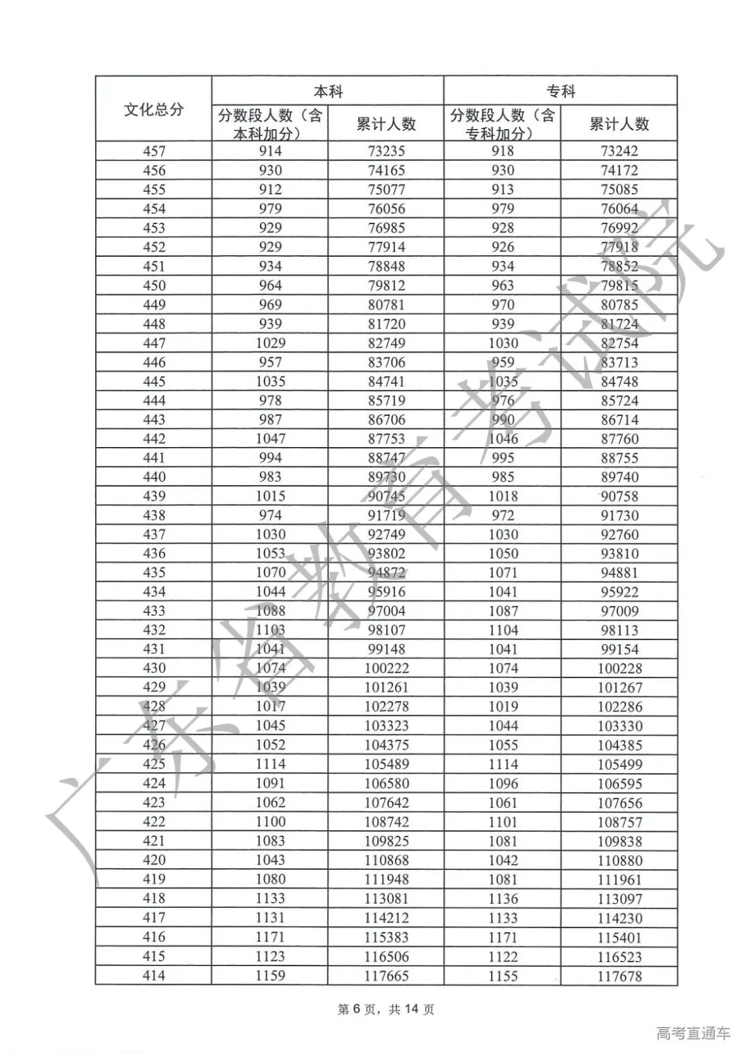
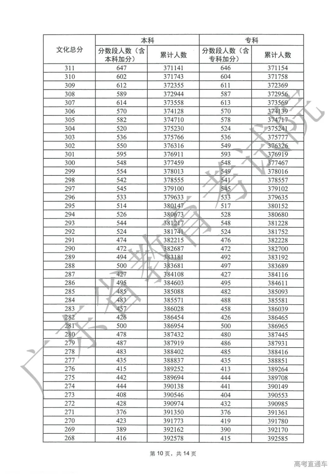
车车整理了各省市2023年的一分一段表,大家可以对照表格,大致了解下各分数层的竞争情况。
注:新疆及西藏地区不公布一分一段表,故本文无汇总。
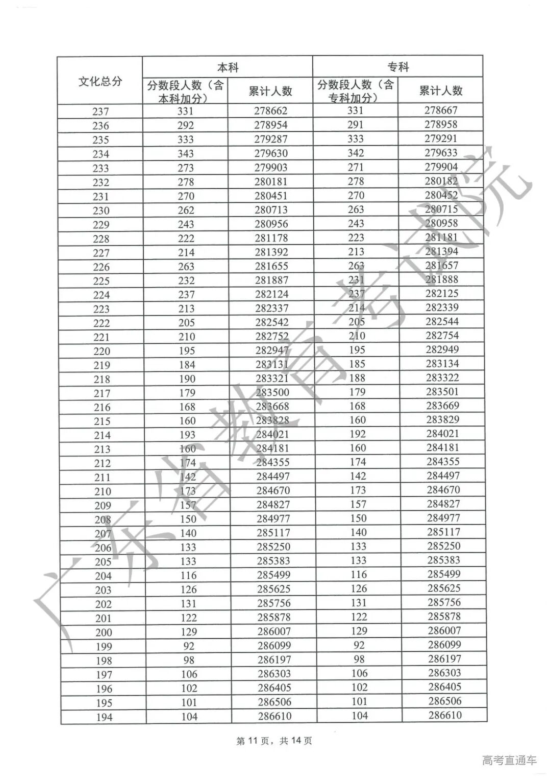
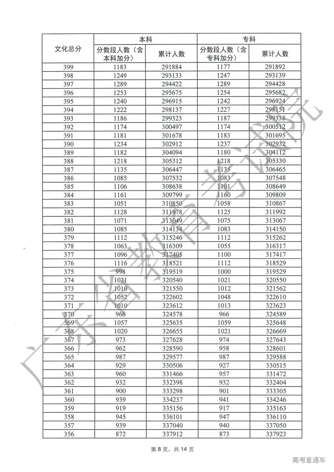
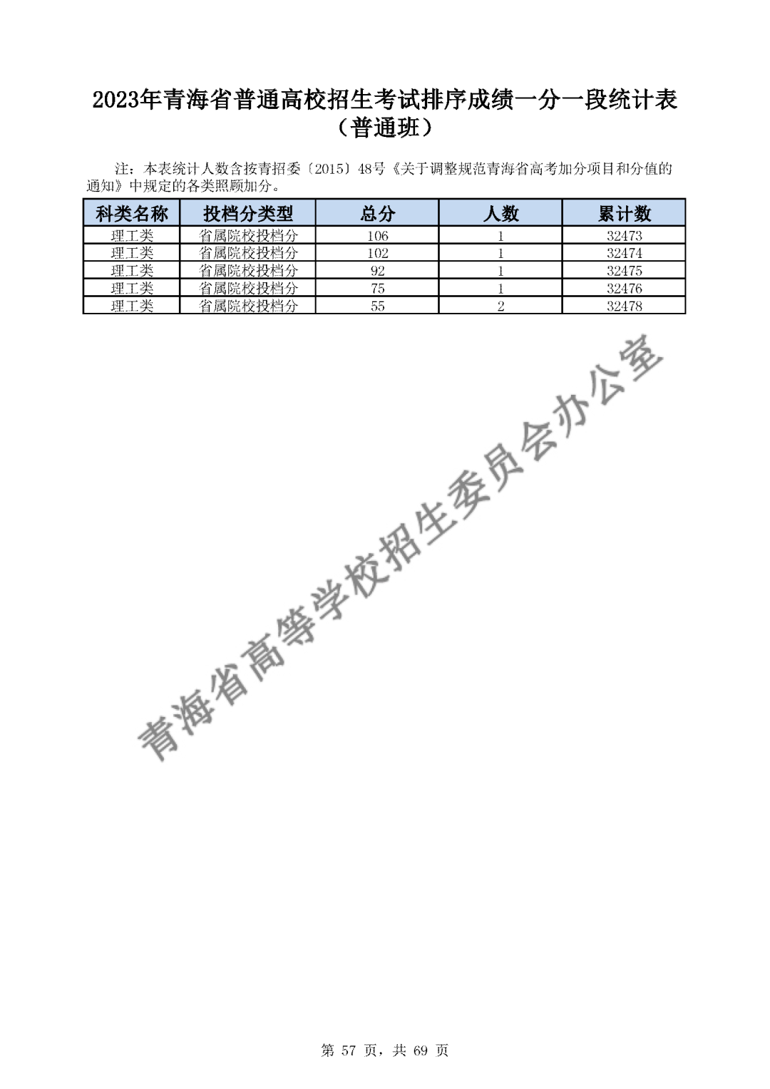
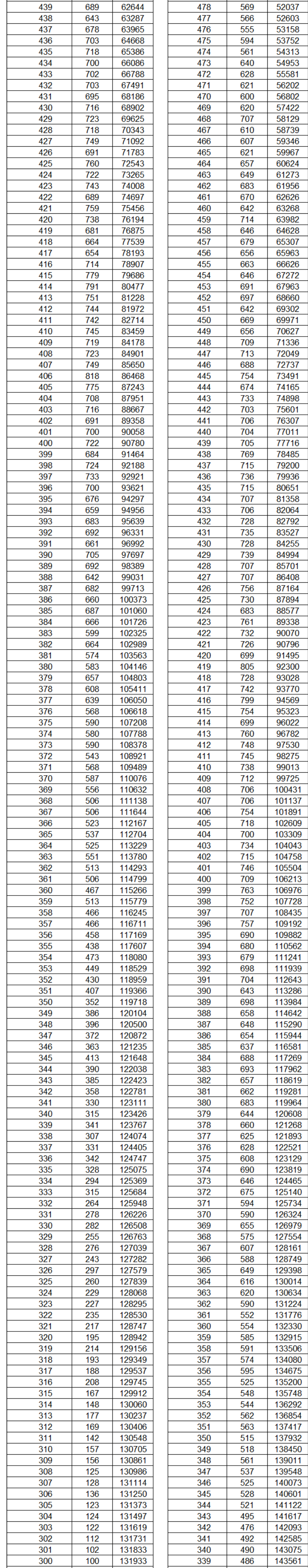
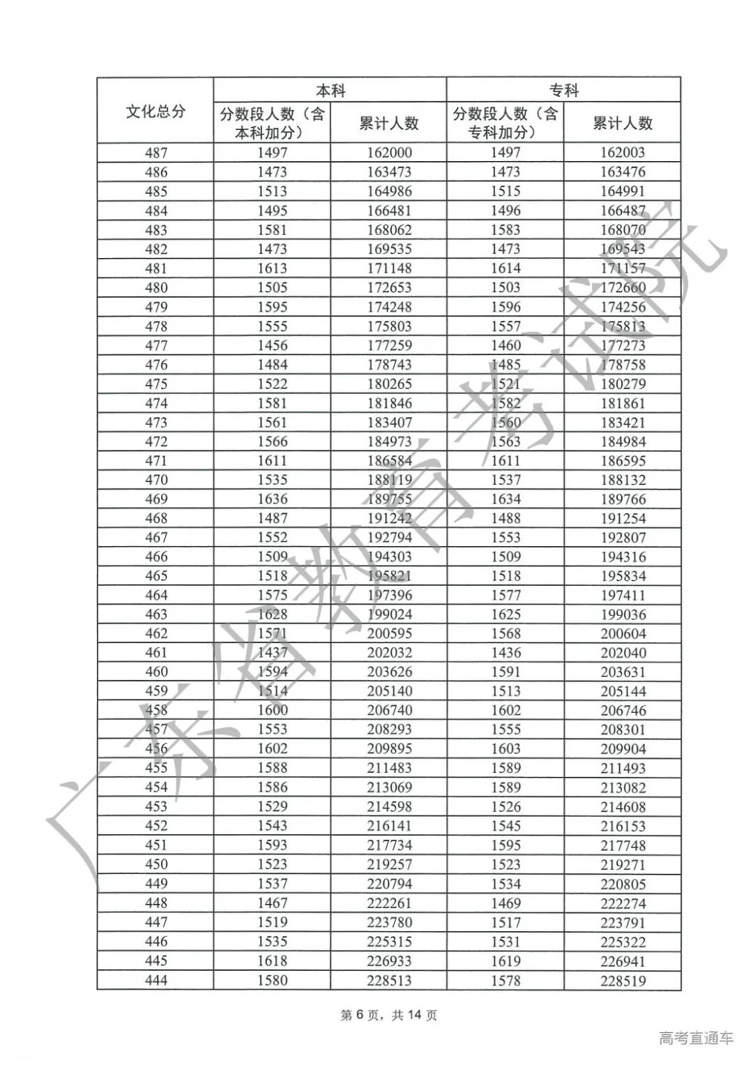
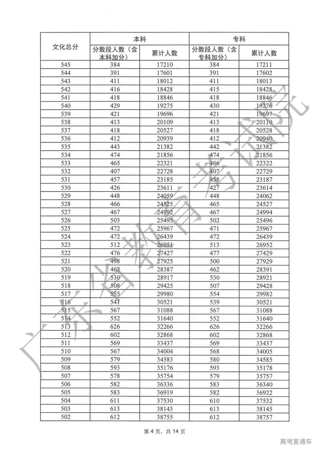
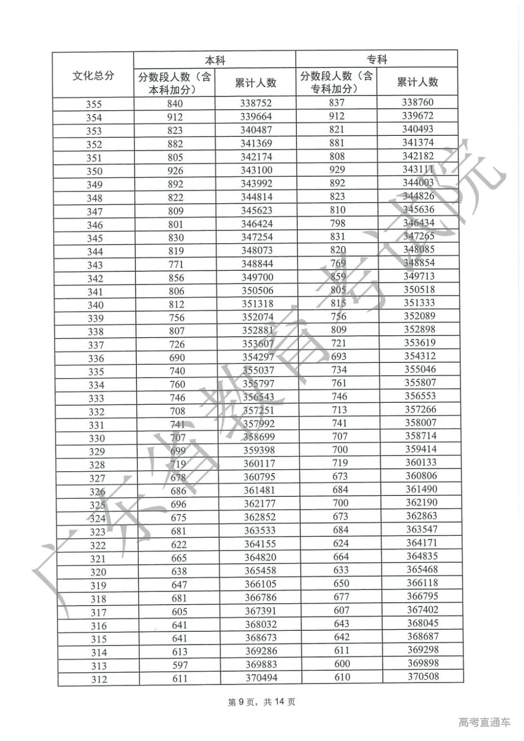
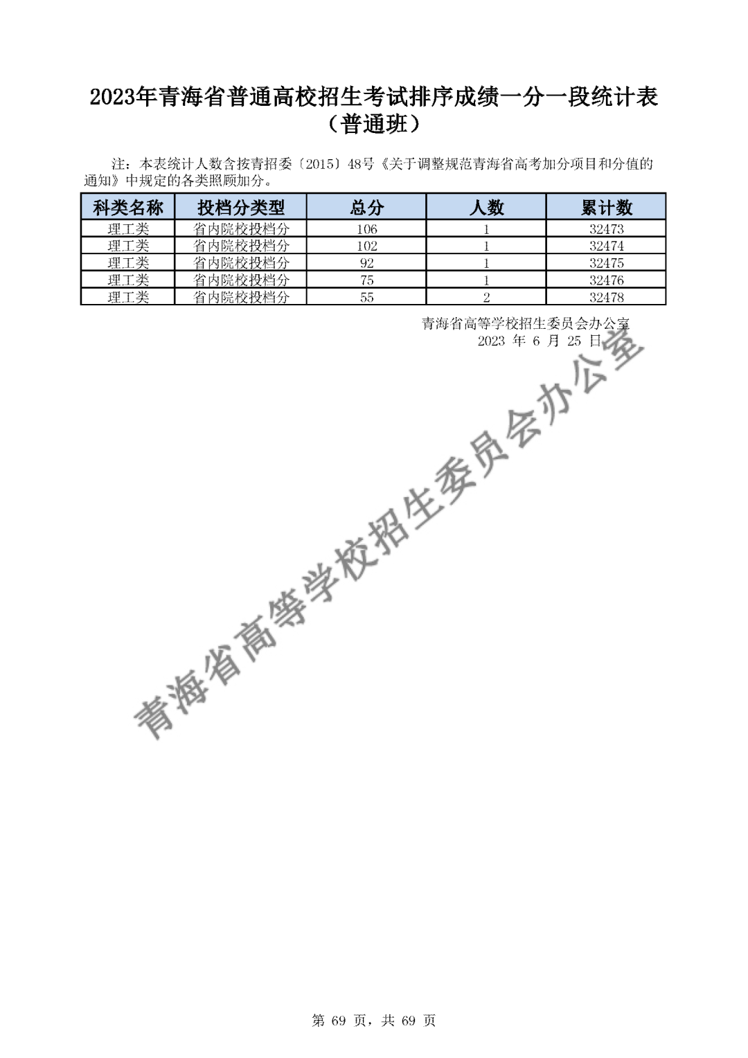
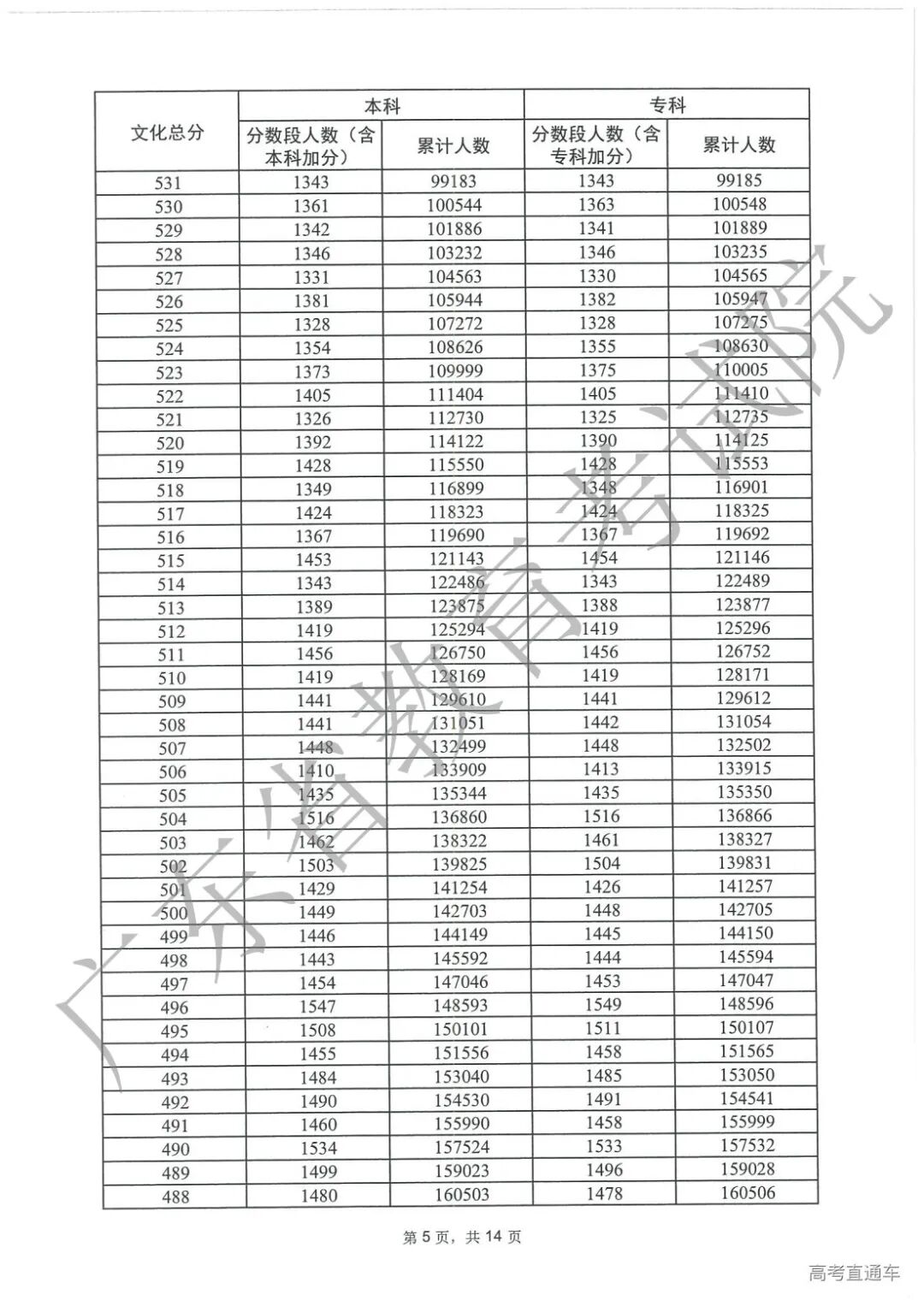
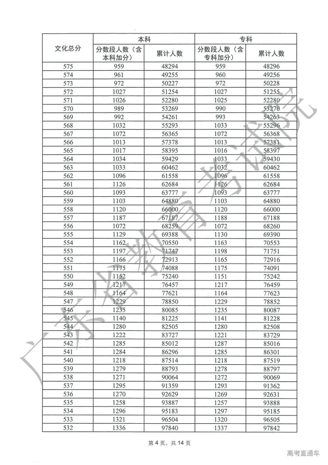
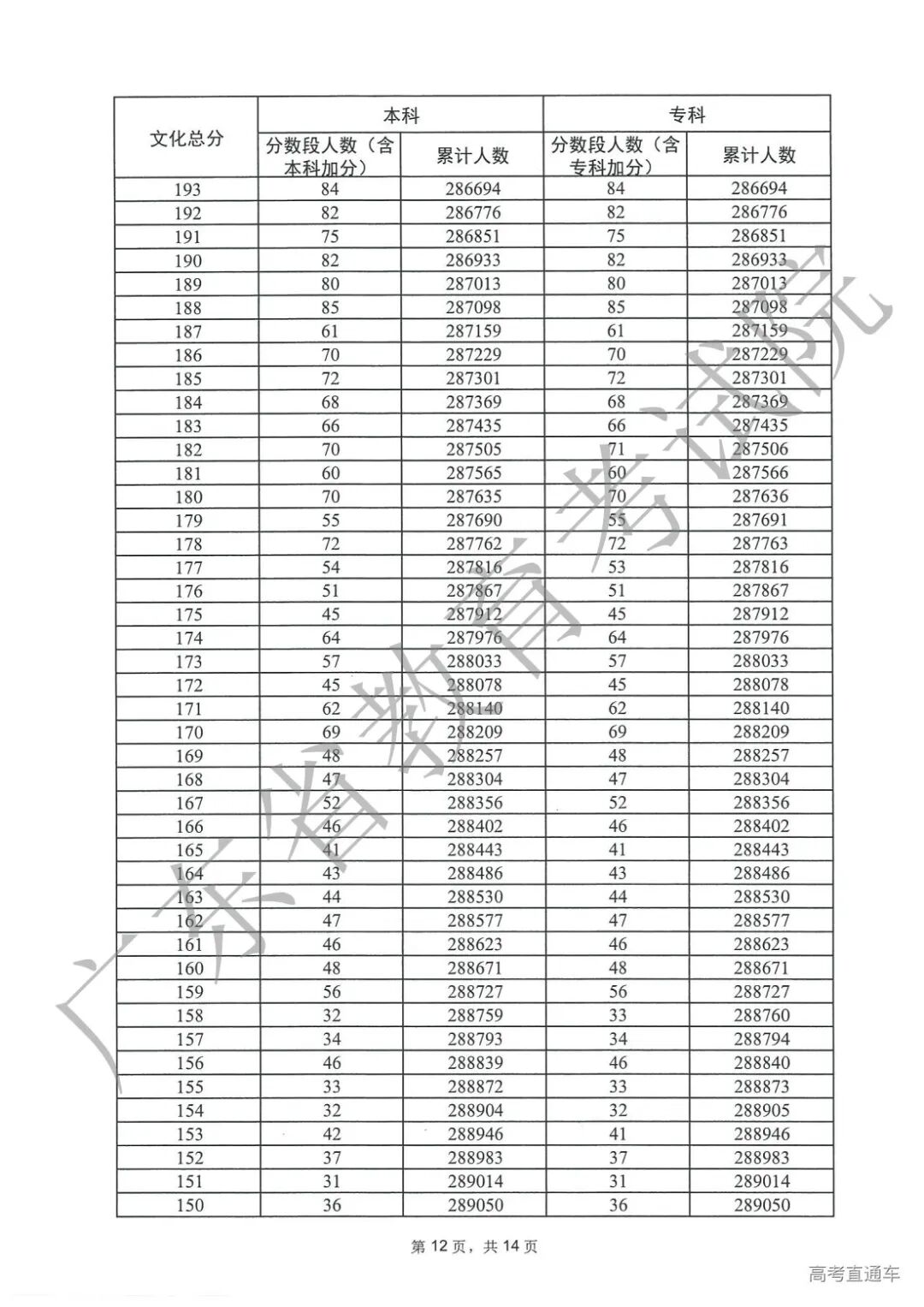
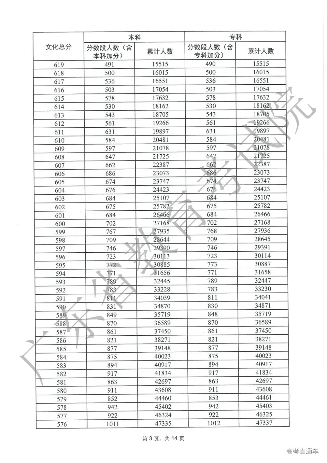
(上下滑动查看更多) 物理: 历史: (上下滑动查看更多) 物理: 历史: (上下滑动查看更多) 理科: 注:100分以下略 注:100分以下略 (上下滑动查看更多) (上下滑动查看更多) (上下滑动查看更多) 物理学科: 历史学科: (上下滑动查看更多) (上下滑动查看更多) (上下滑动查看更多) 物理类: 历史类: (上下滑动查看更多) 物理类: 历史类: (上下滑动查看更多) (上下滑动查看更多) (上下滑动查看更多) (上下滑动查看更多) (上下滑动查看更多) (上下滑动查看更多) 理工类: 文史类: (上下滑动查看更多) (上下滑动查看更多) 理工类: 文史类: (上下滑动查看更多) 理工类: 文史类: (上下滑动查看更多) 理科: 文科: (上下滑动查看更多) 理工类(总分=总成绩+全国性加分和地方性加分的最高分): 文史类(总分=总成绩+全国性加分和地方性加分的最高分): (上下滑动查看更多) 物理类: 历史类: (上下滑动查看更多) (上下滑动查看更多) 理工类: 文史类: (上下滑动查看更多) 理科: 文科: 理工类: 文史类: (上下滑动查看更多) (上下滑动查看更多) 理科: 文科: 1.如何知道全省排名多少? 为了帮助考生科学填报志愿,高考查分系统开通后,各省将发布“分数段统计表”(一分一段表)。 2.什么是“一分一段表”? 所谓“一分一段表”,就是以“1分”为单位,统计考得该分数的考生人数和累计人数,文理科分开排名,每一个分数段上有多少人一目了然。自己的分数在全省考生中排多少位?相同分数的考生有多少人?“一分一段表”里有答案。(注意有一些省份不是一分一段) 3.“一分一段表”有什么用? 分数线发布、高考成绩出炉,再配合“一分一段表”,考生即可在“知分、知线、知位”的情况下,根据目标院校近年来在该省 的录取情况、今年的招生计划,结合自己的高考成绩及全省排位,自我定位、选择学校。 每年的《高考总分一分一段表统计表》,是由省招办(考试院)公布的全省每一高考分数的考生分布统计表。所谓“一分一段”,是以“1分”为单位,统计获得该分数的考生人数和累计人数(也有的省份是5分一段,如广东)。物理历史分开排名,每一个分数段上有多少人一目了然。 通过这个表,考生不仅知道各批次的分数线,同时还能了解自己在全省考生中的排位,更有利于考生对自己进行合理的定位。 目前的“一分一段表”,是将全省同科类考生的总分从高到低排列(分数相同的则为并列),再按一分一段统计“人数”;从人数向上一直到最高分段的所有“段位人数”相加,就是“累计人数”,累计人数也是这一分数考生的最低位次。 需要提醒的是,“一分一段表”是包含了加分的,加分也会体现在“一分一段表”中,考生不必担心是否有成绩在自己后面的考生,通过加分后超越自己。 在“一分一段表”中查找与自己成绩相对应的分数排名和这一位次成绩共有多少考生,以确定个人成绩在全省的位置。 通过一分一段表,考生可以知道自己的高考成绩在今年全省同科类考生中的位次(排名),再对比预填报学校往年校线分数所对应的位次,如果两个位次一致和相当,填报后录取的可能性就大;如果两者相差过大,落选的可能性就大。 找准自己的位置,这样比单纯地看分数更加准确。因此,考生不能仅凭分数填报志愿,而应充分利用“一分一段表”,以成绩排名作为填报参考。 对比一下近三年来的“一分一段”表,看看所想要填报的大学连续三四年的校线在哪个段位(即高出所在批次多少分),若自己的分数比至少两年的段位高,那报考该校把握较大。 考生在对照高校往年录取分数线时,应以对比人数位次为主,若所在位次高于往年该校在本省录取分数位次,则说明报考有希望。 考生应多通过高校招办老师、同学了解其他考生志愿填报意向。因为看“一分一段表”,有的分数段内只有数十名考生,有的则有数百名。分数处于密集段的学生,“一分一段表”的参考价值将降低。 此外,考生应慎重选择历年报考较热、今年在本省投放招生计划数少的院校,以避免因志愿“扎堆”而落档的风险。 由于高校招生是从高分到低分提档,所以考生对自己的定位是非常关键。一分一段表就是把定位具体化为排名,考生可以根据自己的分数对照一分一段表,再参照今年各类高校各批次招生计划数,确定自己该如何填报志愿。 考生要看该批次招多少人,自己处于哪个层次。如果成绩所在的某一分数段上其他考生过于集中,那么在填报志愿时就应注意保持各院校、各专业的志愿填报梯度。每所院校都要根据招生计划和生源情况,划定不同的提档分数线,还有不同分值的专业级差,填报时应考虑到这些因素。 以考生位次为4462为例,假如某所大学的历年招生位次区间是4000-10000,那么考生的位次处于这所大学位次区间的上部,这所大学可以作为保底院校。 假如某所大学的历年招生位次区间是2000-8000,那么考生的位次处于这所大学位次区间的中间,这所大学可以作为比较稳妥的院校填报。 假如某所大学的历年招生位次区间是1000-5000,那么考生的位次处于这所大学位次区间的下部,这所大学的录取可能性就比较低了,可以作为冲一冲的院校填报,当然也可以冲刺大学招生最低位次在4000左右的院校。 简单来说:如果考生的位次与院校或者专业以往连续几年录取考生的位次大致相当或者就在录取考生位次范围以内,则报考这些院校或者专业把握性较大。理工、艺理、体育:
文史、艺文:
物理类含加分:
历史类含加分:









































