推荐阅读:
数列型不等式是高中数学绝对难点, 因其思维跨度大、构造性强,需要有较高的放缩技巧而充满思考性和挑战性,能全面而综合地考查学生的潜能与后继学习能力, 因而成为高考压轴题的极好素材。
这类问题的求解策略往往是:通过多角度观察所给数列通项的结构,深入剖析其特征,抓住其规律进行恰当地放缩;
其放缩技巧主要有以下几种:
放缩法证明不等式的常见题型与基本策略
1、 添加或舍弃一些正项(或负项)
2、 先放缩再求和(或先求和再放缩)
3、 逐项放大或缩小
4、 固定一部分项, 放缩另外的项
5、 函数放缩
6、 裂项放缩
7、 均值不等式放缩
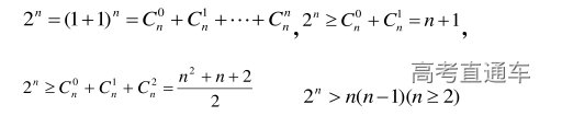
8、 二项放缩
常见题型练习与总结


















































